通讯作者:郝晓刚、杜晓、罗善霞
通讯单位:太原理工大学、中国地质调查局廊坊自然资源综合调查中心
合作作者:马旭莉、刘忠、安小伟、聂国亮
文章链接:https://doi.org/10.1016/j.cej.2026.173298
近日,太原理工大学郝晓刚教授团队在Chemical Engineering Journal发表研究论文“The “confined-capture-induced blocking” interference mechanism of Mg2+in lithium extraction via spinel λ-MnO2 under ultra-high Mg/Li ratio and strategy for its suppression”。该研究聚焦电控离子交换(electrochemically switched ion exchange, ESIX)技术在超高镁锂比卤水中提锂时性能衰减严重这一关键问题,揭示了镁离子干扰的微观机制,并基于该机制,提出了优化策略来抑制镁离子的干扰。研究表明,具有高电荷密度的Mg2+会与锰酸锂的[111]通道(锂离子迁移通道)入口处的氧原子产生强库仑相互作用,导致Mg2+被“限域捕获”而滞留在通道入口处及附近,从而阻塞锂离子的嵌入。采用溶液流动的吸附模式,有效缓解了静态吸附过程中因Li+浓差极化和Mg2+局部富集导致的电极附近Mg/Li比异常升高所产生的不利影响,提高了吸附性能。随后的中试实验进一步验证了该策略的有效性。本研究为高镁锂比盐湖提锂技术的发展提供了理论支撑、工程依据与实践指导。
研究背景
随着锂离子电池需求的快速增长,全球对锂资源的需求呈现井喷态势。我国盐湖卤水中的锂资源储量丰富,占比超过70%,因此实现盐湖卤水的高效开发至关重要。电控离子交换(ESIX)技术因其选择性高、能耗低、环境友好等特点,已成为盐湖提锂的重要研究方向。该技术通过电场调节电活性材料的价态,结合氧化还原反应与溶液切换的操作模式,实现锂离子的选择性分离与富集。在众多电活性提锂材料中,锰酸锂因其独特的三维锂离子通道和对锂离子的高选择性,被视为理想的提锂材料。然而,我国盐湖卤水多为低品位卤水,普遍具有高镁锂比以及低锂离子浓度的特点。由于镁和锂在元素周期表中处于对角线位置,离子半径相近,化学性质相似,镁离子的存在会严重干扰锂的选择性分离,导致锰酸锂提锂性能急剧下降。目前,大量研究集中于材料改性、工艺优化及装置创新,但对于镁离子引起性能衰减的内在机制尚缺乏深入、统一的认知。因此,明确镁离子的干扰机制,对优化提锂措施具有重要的指导意义。
图文导读
一、卤水中主要共存阳离子对提锂影响的探究
图1.锰酸锂在各种溶液中的循环伏安测试
首先,通过循环伏安CV测试发现,锰酸锂在高镁锂比卤水中的提锂性能显著下降。随后的CV测试表明,镁离子并不会嵌入锰酸锂的晶格中干扰锂的提取。这说明共存阳离子并非通过竞争嵌入的方式影响提锂过程,即便镁离子浓度较高,也进一步印证了锰酸锂基于电荷匹配效应对锂离子的高选择性机制。进一步研究发现,卤水中高浓度的镁离子是干扰提锂的主要原因,而其他共存离子如钠离子和钾离子则基本不产生干扰。同时,锰酸锂的提锂性能主要取决于溶液中的镁锂比,随着镁锂比升高,其性能先上升后下降。因此,结合实验现象与分析可以推断:镁离子并非通过嵌入锰酸锂晶格并占据8a位点来干扰提锂,而是通过在锂离子的迁移路径产生阻碍来实现干扰,即其主要作用位置并不在8a位点。
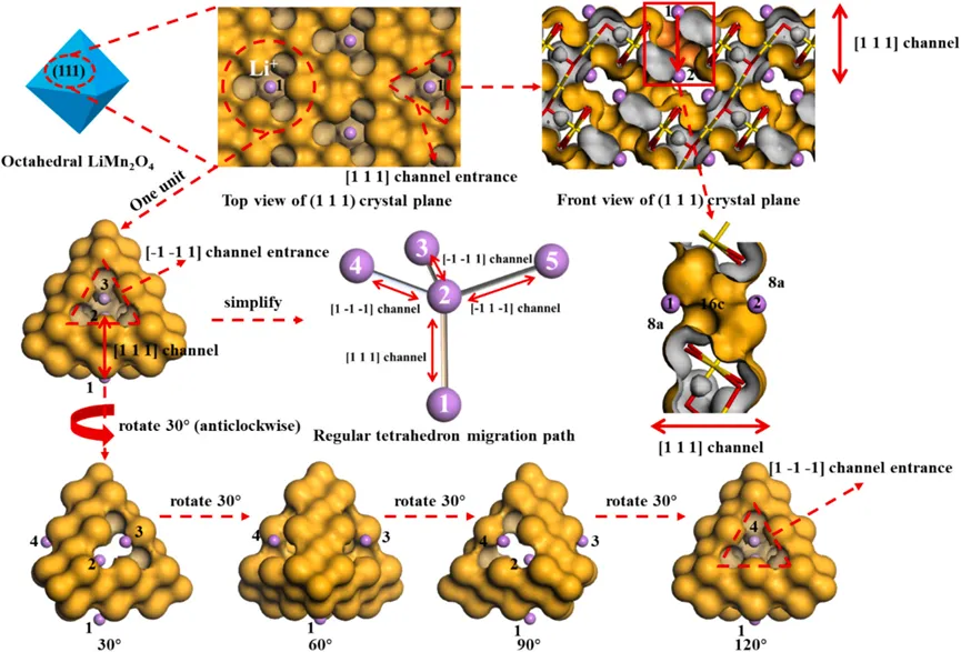
二、锂离子进入锰酸锂以及在其中迁移规律的探究
图2. Li+在LiMn2O4晶格中的嵌入与扩散规律图
为了弄清镁离子如何阻碍锂离子的迁移,本文研究了锂离子在溶液中如何进入晶格内部以及在晶格中的迁移规律。由图2可知,锂离子主要沿着{111}晶向族方向嵌入锰酸锂当中以及在锰酸锂当中迁移。
三、镁离子干扰机制的探究
图3. Li+和Mg2+基于DFT计算的在分子尺度上的对比图
根据图3所示,镁离子的迁移能垒高于锂离子,表明镁离子在晶格内迁移更为困难。能垒最高点(对应于6位点)位于第一氧层处,该处为锂离子和镁离子所处的位置——二者大致位于第一氧层三个氧原子的中心,因而与氧原子距离最近。此外,由于镁离子具有较高价态,其与氧原子之间发生较强的电子转移,产生强烈的库仑相互作用,导致镁离子结合能较高。因此,镁离子主要在由第一氧层构成的[111]孔道入口处形成阻碍,从而阻碍锂离子的嵌入。
四、镁离子干扰机制
图4. Mg2+干扰提锂的机理图
由图可知,本文提出了镁离子干扰提锂的微观机制—“限域捕获诱导阻塞”,具体为由于自身的高电荷密度,电场驱动下的镁离子在靠近由第一氧层构成的[111]孔道(锂离子迁移孔道)入口时与氧原子产生较强的库伦相互作用,使镁离子在[111]孔道入口处被“限域捕获”,从而对孔道造成阻塞,最终,镁离子阻碍了锂离子的嵌入,抑制提锂性能。
五、Mg2+干扰机制的进一步验证和探索
图5. 离子价态在干扰机制中的作用以及干扰机制的验证
为验证离子价态是上述镁离子干扰机制中的决定性因素,本文对锰酸锂电极进行了CV测试。结果显示,低价态的钾离子和钠离子对提锂过程没有明显干扰,而同样为二价态的镁离子和钙离子则表现出显著的干扰作用。这说明离子价态对提锂性能具有重要影响,在该干扰机制中起着关键作用,从而也支持了前述干扰机制的合理性。此外,从图中可以看出,高价态的镁离子和钙离子会堵塞[111]通道,而低价态的钠离子和钾离子由于离子半径过大,既不会嵌入也不会造成通道堵塞。相比之下,锂离子凭借其低价态和较小的离子半径,能够更容易地进入λ-MnO2结构中,这充分体现了λ-MnO2的离子筛分机制。随后,通过稳定性实验及相关表征,进一步证实了镁离子的干扰机制。最后,实验结果表明,采用较小的电流有助于减轻镁离子、钙离子等共存离子的干扰,从而提升吸附性能。
六、针对干扰机制的优化措施及中试初步探索
图6. 动态吸附模式在放大过程中的效果验证以及物理模型的验证
基于上述机制,本研究在不同流量条件下对模拟卤水进行了吸附实验,结果证实流量对提锂性能具有显著影响。随后,通过COMSOL软件建立物理模型发现:在静态吸附条件下,腔室中存在严重的浓差极化现象,导致锰酸锂电极附近的锂离子浓度极低;同时,镁离子在电极附近明显富集。这两个现象共同造成电极附近的镁锂比远高于主体溶液(模拟卤水或实际卤水)。考虑到较高的镁锂比会对锂提取过程产生更强干扰,静态吸附下的提锂性能因而较差。而在溶液流动的动态吸附模式下,锂离子的浓差极化与镁离子的富集均得到缓解,有效抑制了电极表面及内部镁锂比的异常上升,从而提升了提锂性能。最后,本研究在总面积为11.040 m2的中试装置中,针对实际卤水(CLi = 0.35 g/L, CMg = 120 g/L)开展了实验,取得了良好的效果。综上所述,以上结果表明,尽管镁离子的存在对提锂过程构成一定的干扰,但由于锰酸锂具有优异的选择性与稳定性,该技术仍展现出良好的工业化应用前景。
研究意义
该研究围绕ESIX技术在超高镁锂比卤水中提锂时性能衰减严重这一关键问题,系统研究了电场作用下镁离子干扰锂提取的机制、优化策略及放大试验性能。本文揭示了镁离子干扰提锂的微观机制,即“限域捕获诱导阻塞”。研究表明,具有高电荷密度的Mg2+会与锰酸锂的[111]通道(锂离子迁移通道)入口处的氧原子产生强库仑相互作用,导致Mg2+被“限域捕获”而滞留在通道入口处及附近,从而阻塞锂离子的嵌入。并基于该机制,本文采用了溶液流动的动态吸附模式来抑制镁离子的干扰,有效缓解了静态吸附过程中因Li+浓差极化和Mg2+局部富集导致的电极附近Mg/Li比异常升高所产生的不利影响,显著抑制了“限域捕获”诱导的阻塞效应并提高了吸附性能。随后的中试实验进一步验证了该策略的有效性。本研究为超高镁锂比盐湖提锂技术的发展提供了理论支撑、工程依据与实践指导。
作者简介

郝晓刚 太原理工大学化学与化工学院二级教授,工学博士 博士生导师。山西省化工学会理事长,中国化工学会理事、中国颗粒学会理事,山西省科协委员、中国化工学会工程热化学专业委员会委员和ESG专委会委员、中国膜工业协会电驱动膜专业委员会委员和新能源膜专委会委员。2023年民进中央首届全国“叶圣陶教师奖”。国家重点研发计划国际合作专项、国家自然科学基金区域创新发展联合基金重点项目负责人。Carbon Resources Conversion (CRC), Resource Chemicals and Materials (RCM)编委、《太原理工大学学报(自然科学版)》执行主编及《水处理技术》、《煤炭转化》等期刊编委。

杜晓太原理工大学化学与化工学院教授。山西省“三晋英才”支持计划青年优秀人才,青海省“昆仑英才·高端创新创业人才”计划拔尖人才,中国海洋学会海水淡化与再利用分会青委会委员,山西省化工学会膜技术应用专业委员会主任委员。主要从事电活性离子交换功能膜材料的制备,电控离子膜分离技术的研发及其在盐湖资源综合利用、核废水处理、稀土分离、重金属污水治理等领域的应用研究。主持及参与国家重点研发计划、国家自然科学基金等项目10余项,发表学术论文100余篇,授权发明专利10余项,获得山西省科技进步二等奖两项,参编专著一部。
罗善霞中国地质调查院廊坊自然资源综合调查中心正高级工程师。2006年毕业于太原理工大学获学士和硕士学位;2010年天津大学化学工程博士毕业。同年,就职于河北省区域地质调查院(河北省地学旅游研究中心),2023年调入中国地质调查院廊坊自然资源综合调查中心。长期致力于地质领域和环境领域分析测试与岩矿鉴定、实验室管理与资质建设、海水和盐湖资源高效分离与利用研究。河北省三三三人才,河北省地矿局实验测试专家团队成员,河北省市场监督管理局检验检测机构资质认定评审员,主持区域地质调查、矿产调查、土壤污染调查等分析测试项目及科研项目20余项,发表学术论文20余篇,实用新型专利2项,发明专利3项。

王子锐 太原理工大学化学与化工学院2022级博士生。