《电网技术》,值得信赖的电力学术期刊




缓解LCC-HVDC与耦合直驱风电场系统强迫次同步振荡的参数优化策略研究/邹仁凯,陈武晖,张庚午,郭小龙
DOI:10.13335/j.1000-3673.pst.2025.0148
研究背景
直驱风电场耦合到电网换相换流器高压直流输电交流母线的应用场景增多,高压直流两端异步联网系统频率调制会产生在次同步频率范围内时变的间谐波,这些间谐波会激励耦合风电场的次同步振荡模态,进而产生较严重的强迫次同步振荡问题。
主要内容及创新点
本文以LCC-HVDC与耦合直驱风电场系统为研究对象,分析了耦合系统FSSO的产生机理,并据此提出一种缓解FSSO的参数优化策略,主要创新点如下:
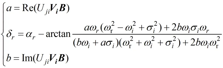
1)推导了LCC-HVDC调制间谐波的产生机制与频率特征,并基于系统线性化状态方程,明确了间谐波与直驱风电场弱阻尼模态的耦合作用激励出系统各电气量强迫次同步振荡幅值的一般化解析式为

(1)

(2)
从上式可以看出间谐波幅值越大、间谐波频率越接近模态的振荡频率、模态阻尼越弱,FSSO期间状态变量的振荡幅值越大。
2)根据FSSO幅值的解析式,提出了缓解FSSO的参数优化目标:提升被激励次同步模态的阻尼;使被激励次同步模态的振荡频率尽可能远离间谐波的频率范围。参数优化过程中对受控制器带宽限制、频率无法移出间谐波范围的模态,重点提升其阻尼水平;对频率可调范围较大的模态,在提升阻尼的同时,将其频率主动偏移至间谐波范围之外。

图1 参数优化前后λ1(2)引起的振荡功率波形及频谱分析

图2 参数优化前后λ3(4)引起的振荡功率波形及频谱分析
3)为防止提升阻尼的同时损害风机的动态调节性能,本文在参数优化中兼顾故障穿越的动态特性,通过限定电压外环、电流内环、锁相环的控制器带宽,平衡系统的稳定性与动态响应能力。
03
研究结论
针对LCC-HVDC调制间谐波激发耦合DDWF的FSSO问题,本文分析了LCC-HVDC调制间谐波频率范围及其激发系统FSSO的机理,揭示了模态阻尼和模态振荡频率与间谐波频率接近程度对FSSO的影响。综合考虑模态阻尼、频率接近程度和故障穿越期间系统的动态特性,提出一种缓解系统FSSO的参数优化策略。结论如下:
1)LCC-HVDC与耦合DDWF系统中存在以风机锁相环和直流电压外环为主导的弱阻尼模态。电压外环振荡模态频率受其带宽的限制,振荡模态频率变化范围较小,不能通过参数优化将其振荡频率转移到LCC-HVDC调制间谐波频率范围之外。而锁相环模态则相反,锁相环带宽变化范围较大,参数优化可以将其强相关的振荡模态频率转移到LCC-HVDC调制间谐波频率范围以外。
2)根据FSSO的时域表达式,提出了一种以模态阻尼和模态频率与最大间谐波频率偏离程度为目标函数的参数优化方法,以缓解FSSO。
3)本文提出的FSSO缓解策略有效改善系统阻尼状态,针对振荡频率变化范围不同的模态采取差异化且有效的参数优化方法,并兼顾了故障穿越期间系统的动态性能。
后续研究方向或讨论话题
在某些极端情况下,只通过参数优化达不到预期目标,还要采用附加阻尼控制器等措施才能达到期望效果。缓解上述情形下系统的FSSO将是下一步研究的方向。
参 文 格 式
邹仁凯,陈武晖,张庚午,等.缓解LCC-HVDC与耦合直驱风电场系统强迫次同步振荡的参数优化策略研究[J].电网技术,2025,49(11):4717-4728.
Zou Renkai,Chen Wuhui,Zhang Gengwu,et al.Study of parameter optimization strategy for mitigating forced subsynchronous oscillations in LCC-HVDC and coupled direct-drive wind farm system[J].Power System Technology,2025,49(11): 4717-4728(in Chinese).
相关文献扩展阅读
刘朋印,谢小荣,李原,等.构网型控制改善跟网型变流器次/超同步振荡稳定性的机理和特性分析[J].电网技术,2024,48(3):990-997.
杨龙月,任烜辰,蔡智鹏,等.高光伏渗透率配电网电压控制策略研究综述[J].电网技术,2024,48(12):5056-5070.
邬永,王冰,陈玉全,等.融合精细化气象因素与物理约束的深度学习模型在短期风电功率预测中的应用[J].电网技术,2024,48(4):1455-1465.
作者简介

邹仁凯,硕士研究生,研究方向为电力系统稳定与控制。E-mail:2531584334@qq.com。

陈武晖,教授/博导。专注于电力系统宽频振荡建模、机理分析以及抑制措施等研究,主持2项国家级国家自然科学基金面上项目,重点研发计划校内负责人1项,发表40篇SCI/EI检索学术论文,授权5项发明专利。中国电工技术学会电力系统保护与控制专委会委员,山西省电机工程学会理事。E-mail:chenwuhui@tyut.edu.cn。
制作:毛 馨
责任编辑:明 月
审核:李兰欣
本文为原创作品,所涉及文字及图片版权均属《电网技术》编辑部所有,根据国家版权局最新规定,纸媒、网站、微博、微信公众号转载、摘编我社的作品,务请提前联系我编辑部。个人请按本微信原文转发、分享。
