邓雨晨1
王熠1高凤凤1,2,3,4
郝晓刚1,2,3
仙运昌4赵瑞4
(1.太原理工大学化学与化工学院,山西 太原 030024;2.元锂(杭州)分离技术有限公司,浙江 杭州 311607;3.山西科化技术服务有限公司,山西 太原 030000;4.山西阳煤化工机械(集团)有限公司,山西 太原 030032 )
DOI:10.11949/0438-1157.20250876

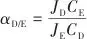
![]() | (1) |
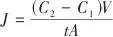
![]() | (2) |
![]() | (3) |
![]() | (4) |





表1模拟卤水实验中原料液和接收液的阳离子浓度Table 1Cation concentrations of the feedstock and receiver solutions in simulated brine


表2盐湖卤水中主要离子的裸离子和水合离子的离子半径Table 2Ionic radii of naked ions and hydrated ions for major ions in salt lake brine



DENG Yuchen1
WANG Yi1GAO Fengfeng1,2,3,4
HAO Xiaogang1,2,3
XIAN Yunchang4ZHAO Rui4
(1.College of Chemistry and Chemical Engineering, Taiyuan University of Technology, Taiyuan 030024, Shanxi, China;2.Yuanli(Hangzhou) Separation Technology Co., Ltd., Hangzhou 311607, Zhejiang, China;3.Shanxi Kehua Technology Service Co., Ltd., Taiyuan 030000, Shanxi, China;4.Shanxi Yangmei Chemical Machinery (Group) Co., Ltd., Taiyuan 030032, Shanxi, China )

第一作者:邓雨晨(2002—),男,硕士研究生,2592067206@qq.com
通讯作者:高凤凤(1988—),女,博士,副教授,gaofengfeng@tyut.edu.cn;郝晓刚(1967—),男,博士,教授,xghao@tyut.edu.cn
