当前位置:首页>太原>太原科技大学刘晓奇,CEJ:一举两得!“固溴+催化”双功能电极协同破解溴基液流电池寿命与效率

太原科技大学刘晓奇,CEJ:一举两得!“固溴+催化”双功能电极协同破解溴基液流电池寿命与效率

  • 2026-04-22 23:31:49
太原科技大学刘晓奇,CEJ:一举两得!“固溴+催化”双功能电极协同破解溴基液流电池寿命与效率

科学材料站

文 章 信 息

铋掺杂层状双氢氧化物调节碳毡电极实现高效率和长寿命的溴基液流电池

第一作者:鲍昱衡

通讯作者:刘晓奇*

单位:太原科技大学

科学材料站

研 究 背 景

溴基液流电池凭借其较高的氧化还原电位、活性物质资源丰富及成本优势,被广泛认为是面向大规模储能的极具潜力的技术路线。然而,其实际应用仍长期受制于两大核心瓶颈:一方面,Br2/Br-氧化还原反应动力学迟缓,导致高倍率条件下极化严重、能量效率受限;另一方面,多溴化物在电解液中的扩散与跨膜迁移引发显著自放电和活性物质损失,严重削弱循环稳定性。传统研究多依赖溴络合剂或单一电极改性手段加以缓解,但往往以牺牲反应动力学或体系稳定性为代价。因此,如何在抑制溴穿梭的同时协同提升反应动力学,成为推动溴基液流电池走向高效率与长寿命的关键突破口。

科学材料站

文 章 简 介

近日,太原科技大学刘晓奇团队《Chemical Engineering Journal》上发表题为“Bismuth-doped layered double hydroxide regulated carbon felt electrode enabling high efficiency and long-lifespan bromine-based flow batteries”的研究文章。研究表明,LDH层状结构对多溴化物具有强吸附作用,可显著抑制溴扩散与跨膜迁移;同时,Bi掺杂在LDH晶格中引入电子调控中心,显著加速Br2/Br-氧化还原反应动力学。基于BLCF组装的锌溴液流电池在160 mA cm-2高电流密度下表现出低极化、高能效及超过1200次的稳定循环寿命。该研究为构建“固溴–催化”双功能协同电极提供了新思路,为溴基液流电池的高性能化与长寿命化提供了重要支撑。

图1. 具有优异溴吸附与固定能力的 LDH 修饰电极在溴基液流电池中的结构示意图。

科学材料站

本 文 要 点

要点一:LDH对多溴化物的强吸附作用

可视化实验、电化学原位表征及光谱分析一致表明,LDH在锌溴液流电池正极侧对溴及多溴化物具有显著的界面调控能力。与裸Pt或PCF电极上多溴液滴稀疏、无序且易聚集不同,LDH修饰电极表面形成了致密而均匀分布的多溴微液滴,且LDH可诱导大尺寸多溴团簇裂解为细小分散颗粒,有效缓解多溴堆积引起的电极钝化并提升界面传质效率。瓶中吸附实验与UV-Vis结果进一步证明,LDH能够持续消耗溶液中的游离Br₂,显著降低其有效浓度。原位拉曼分析揭示,LDH优先稳定Br3-而抑制高阶Br5-生成,表明Br2更倾向于在LDH相中被络合与固定,从而降低其迁移性并抑制向负极的跨膜扩散。在充放电过程中,LDH始终维持较高的Brn-信号强度,体现出对溴物种的持续吸附能力。上述“吸附–限域–分散”协同机制不仅在本质上削弱了穿梭效应和自放电行为,还通过改善界面反应环境显著加快了Br2/Br-氧化还原动力学,为构建高效稳定的溴基液流电池正极提供了关键材料基础。

图2. 电极表面对溴物种的吸附能力及其在电化学反应过程中的演化行为。(a) 充电过程中,Blank与LDH样品对应的Pt电极表面形成的多溴物种的光学照片;(b) Blank与LDH电极浸泡后溴溶液的UV-Vis吸收光谱;(c, d) 锌溴液流电池中不同正极在 (c) 充电与 (d) 放电过程中不同时刻的拉曼光谱。

要点二:Bi掺杂调控LDH电子结构,保持层状骨架完整的同时引入电子富集位点

系统表征结果表明,Bi掺杂在不破坏LDH层状结构与孔道特征的前提下,实现了对其电子结构与表面化学的有效调控。相比之下,XPS揭示出明显的电子结构重排:Bi掺杂引起O 1s与Mg 1s结合能负移,表明Bi作为电子供体向LDH骨架发生电荷转移,提升了金属-氧配位环境的电子密度,从而激活了局部反应位点。进一步的溴吸附后表征显示,Bi 4f结合能正移且Br 3d中同时出现Br2与Br3-信号,直接证明了Bi位点与溴物种之间存在强电子相互作用和稳定络合行为。与此同时,Zeta 电位结果表明 Bi-LDH 表面正电性增强,有利于通过静电作用进一步富集阴离子型多溴物种。

图3. LDH与Bi-LDH的结构及表面性质表征。(a) XRD衍射图谱;(b) XPS全谱图及 (c) O 1s高分辨谱;(d) Bi-LDH与Bi-LDH-Brn-样品的Bi 4f谱和(e) Br 3d谱;(f) Zeta电位测试结果。

要点三:Bi掺杂通过“吸附+催化+传质”协同机制显著加速Br2/Br-反应动力学

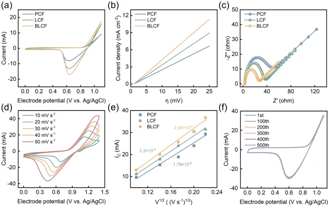
Br2/Br-反应的速率受限于表面多溴化物中间体的生成过程,而Bi-LDH通过增强溴结合能力与电子结构调控,有效突破了这一动力学瓶颈。电化学测试表明,BLCF相较于PCF和LCF显示出更高的阴极峰电流、更陡的极化斜率以及更大的交换电流密度和电子传递速率常数,说明其具有更优异的本征催化活性;同时,更小的电荷转移电阻进一步证实了界面电子传输的加速。扫描速率依赖的CV结果揭示了准可逆、扩散控制的反应特征,而更高的Br2扩散系数则表明BLCF具备更高效的离子传输能力。加之优异的润湿性和长期循环稳定性,Bi-LDH 构建了集“强吸附-快电子转移-高效传质”于一体的协同反应界面,从而系统性提升了Br2/Br-氧化还原动力学与电极工作稳定性。

图4. PCF、LCF 与 BLCF 的电化学性能对比。(a) 扫描速率为10 mV s-1时的循环伏安(CV)曲线;(b) 扫描速率为1 mV s-1时的线性扫描伏安(LSV)曲线;(c) 交流阻抗Nyquist图;(d) 不同扫描速率下BLCF的CV曲线;(e) 阴极峰电流(Ic)与扫描速率平方根(v1/2)之间的线性关系;(f) BLCF在连续500次CV循环过程中的电化学稳定性。

要点四:BLCF通过“强固溴+快动力学”协同作用实现ZBFB性能与寿命的同步突破

基于BLCF构建的锌溴液流电池在自放电抑制、效率提升和长期循环稳定性方面均展现出显著优势。相比PCF,BLCF在24 h静置后仍保持更高的容量保持率,表明LDH对溴物种的强吸附显著削弱了跨膜迁移与穿梭效应;同时,其在高电流密度下表现出更高的库仑效率、电压效率与能量效率,以及更小的充放电电压差,说明Bi掺杂在加速Br2/Br-动力学方面发挥了关键作用。宽电流密度和变温测试进一步证明了BLCF在高倍率与复杂工况下的电化学稳定性。尤为重要的是,BLCF可在160 mA cm-2下稳定运行超过1200次循环且极化几乎不增长,显著优于PCF与LCF,体现出其卓越的结构稳健性与界面稳定性,充分证明BLCF通过“LDH 锚定多溴化物+Bi催化加速转化”的协同机制,为构建高功率、长寿命 Br-FBs 提供了切实可行的材料设计路径。

图5. 采用不同电极的锌溴液流电池(ZBFBs)性能对比。(a) 在80 mA cm-2下不同正极的自放电性能;(b) 在160 mA cm-2下不同正极的库仑效率、电压效率和能量效率;(c) 在160 mA cm-2下不同正极的充放电曲线;(d) 不同电流密度下BLCF的效率表现;(e) 不同电流密度下BLCF对应的充放电曲线;(f) 不同温度条件下BLCF的效率变化;(g) 在160 mA cm-2下BLCF的循环稳定性;(h) 已报道锌溴液流电池在电流密度、能量效率和循环寿命方面的性能对比。

科学材料站

文 章 链 接

Bismuth-doped layered double hydroxide regulated carbon felt electrode enabling high efficiency and long-lifespan bromine-based flow batteries

https://www.sciencedirect.com/science/article/abs/pii/S1385894726001968

科学材料站

通 讯 作 者 简 介

刘晓奇简介:2017年本科毕业于华南理工大学,2023年博士毕业于中国科学院大连化学物理研究所,博士师从李先锋研究员和袁治章研究员,同年加入太原科技大学,现为化学工程与技术学院讲师。研究领域为水系液流电池关键材料。以第一/通讯作者身份在Nat. Commun., Chem. Eng. J., J. Energy Chem., ACS Appl. Mater. Inter.等期刊上发表多篇论文。

添加官方微信 进群交流

SCI二氧化碳互助群

SCI催化材料交流群

SCI钠离子电池交流群

SCI离子交换膜经验交流群

SCI燃料电池交流群

SCI超级电容器交流群

SCI水系锌电池交流群

SCI水电解互助群

SCI气体扩散层经验交流群

备注【姓名-机构-研究方向】

说明

🔹本文内容若存在版权问题,请联系我们及时处理。

🔹欢迎广大读者对本文进行转发宣传。

🔹《科学材料站》会不断提升自身水平,为读者分享更加优质的材料咨询,欢迎关注我们。

投稿请联系contact@scimaterials.cn

致谢

感谢本文作者对该报道的大力支持。

点分享

点赞支持

点在看

最新文章

随机文章

基本 文件 流程 错误 SQL 调试
  1. 请求信息 : 2026-04-26 23:55:22 HTTP/2.0 GET : https://h.460.net.cn/a/460052.html
  2. 运行时间 : 0.110473s [ 吞吐率:9.05req/s ] 内存消耗:4,399.59kb 文件加载:140
  3. 缓存信息 : 0 reads,0 writes
  4. 会话信息 : SESSION_ID=d7877b0cecd465e3b4948a36aa2be87b
  1. /yingpanguazai/ssd/ssd1/www/h.460.net.cn/public/index.php ( 0.79 KB )
  2. /yingpanguazai/ssd/ssd1/www/h.460.net.cn/vendor/autoload.php ( 0.17 KB )
  3. /yingpanguazai/ssd/ssd1/www/h.460.net.cn/vendor/composer/autoload_real.php ( 2.49 KB )
  4. /yingpanguazai/ssd/ssd1/www/h.460.net.cn/vendor/composer/platform_check.php ( 0.90 KB )
  5. /yingpanguazai/ssd/ssd1/www/h.460.net.cn/vendor/composer/ClassLoader.php ( 14.03 KB )
  6. /yingpanguazai/ssd/ssd1/www/h.460.net.cn/vendor/composer/autoload_static.php ( 4.90 KB )
  7. /yingpanguazai/ssd/ssd1/www/h.460.net.cn/vendor/topthink/think-helper/src/helper.php ( 8.34 KB )
  8. /yingpanguazai/ssd/ssd1/www/h.460.net.cn/vendor/topthink/think-validate/src/helper.php ( 2.19 KB )
  9. /yingpanguazai/ssd/ssd1/www/h.460.net.cn/vendor/topthink/think-orm/src/helper.php ( 1.47 KB )
  10. /yingpanguazai/ssd/ssd1/www/h.460.net.cn/vendor/topthink/think-orm/stubs/load_stubs.php ( 0.16 KB )
  11. /yingpanguazai/ssd/ssd1/www/h.460.net.cn/vendor/topthink/framework/src/think/Exception.php ( 1.69 KB )
  12. /yingpanguazai/ssd/ssd1/www/h.460.net.cn/vendor/topthink/think-container/src/Facade.php ( 2.71 KB )
  13. /yingpanguazai/ssd/ssd1/www/h.460.net.cn/vendor/symfony/deprecation-contracts/function.php ( 0.99 KB )
  14. /yingpanguazai/ssd/ssd1/www/h.460.net.cn/vendor/symfony/polyfill-mbstring/bootstrap.php ( 8.26 KB )
  15. /yingpanguazai/ssd/ssd1/www/h.460.net.cn/vendor/symfony/polyfill-mbstring/bootstrap80.php ( 9.78 KB )
  16. /yingpanguazai/ssd/ssd1/www/h.460.net.cn/vendor/symfony/var-dumper/Resources/functions/dump.php ( 1.49 KB )
  17. /yingpanguazai/ssd/ssd1/www/h.460.net.cn/vendor/topthink/think-dumper/src/helper.php ( 0.18 KB )
  18. /yingpanguazai/ssd/ssd1/www/h.460.net.cn/vendor/symfony/var-dumper/VarDumper.php ( 4.30 KB )
  19. /yingpanguazai/ssd/ssd1/www/h.460.net.cn/vendor/topthink/framework/src/think/App.php ( 15.30 KB )
  20. /yingpanguazai/ssd/ssd1/www/h.460.net.cn/vendor/topthink/think-container/src/Container.php ( 15.76 KB )
  21. /yingpanguazai/ssd/ssd1/www/h.460.net.cn/vendor/psr/container/src/ContainerInterface.php ( 1.02 KB )
  22. /yingpanguazai/ssd/ssd1/www/h.460.net.cn/app/provider.php ( 0.19 KB )
  23. /yingpanguazai/ssd/ssd1/www/h.460.net.cn/vendor/topthink/framework/src/think/Http.php ( 6.04 KB )
  24. /yingpanguazai/ssd/ssd1/www/h.460.net.cn/vendor/topthink/think-helper/src/helper/Str.php ( 7.29 KB )
  25. /yingpanguazai/ssd/ssd1/www/h.460.net.cn/vendor/topthink/framework/src/think/Env.php ( 4.68 KB )
  26. /yingpanguazai/ssd/ssd1/www/h.460.net.cn/app/common.php ( 0.03 KB )
  27. /yingpanguazai/ssd/ssd1/www/h.460.net.cn/vendor/topthink/framework/src/helper.php ( 18.78 KB )
  28. /yingpanguazai/ssd/ssd1/www/h.460.net.cn/vendor/topthink/framework/src/think/Config.php ( 5.54 KB )
  29. /yingpanguazai/ssd/ssd1/www/h.460.net.cn/config/app.php ( 0.95 KB )
  30. /yingpanguazai/ssd/ssd1/www/h.460.net.cn/config/cache.php ( 0.78 KB )
  31. /yingpanguazai/ssd/ssd1/www/h.460.net.cn/config/console.php ( 0.23 KB )
  32. /yingpanguazai/ssd/ssd1/www/h.460.net.cn/config/cookie.php ( 0.56 KB )
  33. /yingpanguazai/ssd/ssd1/www/h.460.net.cn/config/database.php ( 2.47 KB )
  34. /yingpanguazai/ssd/ssd1/www/h.460.net.cn/vendor/topthink/framework/src/think/facade/Env.php ( 1.67 KB )
  35. /yingpanguazai/ssd/ssd1/www/h.460.net.cn/config/filesystem.php ( 0.61 KB )
  36. /yingpanguazai/ssd/ssd1/www/h.460.net.cn/config/lang.php ( 0.91 KB )
  37. /yingpanguazai/ssd/ssd1/www/h.460.net.cn/config/log.php ( 1.35 KB )
  38. /yingpanguazai/ssd/ssd1/www/h.460.net.cn/config/middleware.php ( 0.19 KB )
  39. /yingpanguazai/ssd/ssd1/www/h.460.net.cn/config/route.php ( 1.89 KB )
  40. /yingpanguazai/ssd/ssd1/www/h.460.net.cn/config/session.php ( 0.57 KB )
  41. /yingpanguazai/ssd/ssd1/www/h.460.net.cn/config/trace.php ( 0.34 KB )
  42. /yingpanguazai/ssd/ssd1/www/h.460.net.cn/config/view.php ( 0.82 KB )
  43. /yingpanguazai/ssd/ssd1/www/h.460.net.cn/app/event.php ( 0.25 KB )
  44. /yingpanguazai/ssd/ssd1/www/h.460.net.cn/vendor/topthink/framework/src/think/Event.php ( 7.67 KB )
  45. /yingpanguazai/ssd/ssd1/www/h.460.net.cn/app/service.php ( 0.13 KB )
  46. /yingpanguazai/ssd/ssd1/www/h.460.net.cn/app/AppService.php ( 0.26 KB )
  47. /yingpanguazai/ssd/ssd1/www/h.460.net.cn/vendor/topthink/framework/src/think/Service.php ( 1.64 KB )
  48. /yingpanguazai/ssd/ssd1/www/h.460.net.cn/vendor/topthink/framework/src/think/Lang.php ( 7.35 KB )
  49. /yingpanguazai/ssd/ssd1/www/h.460.net.cn/vendor/topthink/framework/src/lang/zh-cn.php ( 13.70 KB )
  50. /yingpanguazai/ssd/ssd1/www/h.460.net.cn/vendor/topthink/framework/src/think/initializer/Error.php ( 3.31 KB )
  51. /yingpanguazai/ssd/ssd1/www/h.460.net.cn/vendor/topthink/framework/src/think/initializer/RegisterService.php ( 1.33 KB )
  52. /yingpanguazai/ssd/ssd1/www/h.460.net.cn/vendor/services.php ( 0.14 KB )
  53. /yingpanguazai/ssd/ssd1/www/h.460.net.cn/vendor/topthink/framework/src/think/service/PaginatorService.php ( 1.52 KB )
  54. /yingpanguazai/ssd/ssd1/www/h.460.net.cn/vendor/topthink/framework/src/think/service/ValidateService.php ( 0.99 KB )
  55. /yingpanguazai/ssd/ssd1/www/h.460.net.cn/vendor/topthink/framework/src/think/service/ModelService.php ( 2.04 KB )
  56. /yingpanguazai/ssd/ssd1/www/h.460.net.cn/vendor/topthink/think-trace/src/Service.php ( 0.77 KB )
  57. /yingpanguazai/ssd/ssd1/www/h.460.net.cn/vendor/topthink/framework/src/think/Middleware.php ( 6.72 KB )
  58. /yingpanguazai/ssd/ssd1/www/h.460.net.cn/vendor/topthink/framework/src/think/initializer/BootService.php ( 0.77 KB )
  59. /yingpanguazai/ssd/ssd1/www/h.460.net.cn/vendor/topthink/think-orm/src/Paginator.php ( 11.86 KB )
  60. /yingpanguazai/ssd/ssd1/www/h.460.net.cn/vendor/topthink/think-validate/src/Validate.php ( 63.20 KB )
  61. /yingpanguazai/ssd/ssd1/www/h.460.net.cn/vendor/topthink/think-orm/src/Model.php ( 23.55 KB )
  62. /yingpanguazai/ssd/ssd1/www/h.460.net.cn/vendor/topthink/think-orm/src/model/concern/Attribute.php ( 21.05 KB )
  63. /yingpanguazai/ssd/ssd1/www/h.460.net.cn/vendor/topthink/think-orm/src/model/concern/AutoWriteData.php ( 4.21 KB )
  64. /yingpanguazai/ssd/ssd1/www/h.460.net.cn/vendor/topthink/think-orm/src/model/concern/Conversion.php ( 6.44 KB )
  65. /yingpanguazai/ssd/ssd1/www/h.460.net.cn/vendor/topthink/think-orm/src/model/concern/DbConnect.php ( 5.16 KB )
  66. /yingpanguazai/ssd/ssd1/www/h.460.net.cn/vendor/topthink/think-orm/src/model/concern/ModelEvent.php ( 2.33 KB )
  67. /yingpanguazai/ssd/ssd1/www/h.460.net.cn/vendor/topthink/think-orm/src/model/concern/RelationShip.php ( 28.29 KB )
  68. /yingpanguazai/ssd/ssd1/www/h.460.net.cn/vendor/topthink/think-helper/src/contract/Arrayable.php ( 0.09 KB )
  69. /yingpanguazai/ssd/ssd1/www/h.460.net.cn/vendor/topthink/think-helper/src/contract/Jsonable.php ( 0.13 KB )
  70. /yingpanguazai/ssd/ssd1/www/h.460.net.cn/vendor/topthink/think-orm/src/model/contract/Modelable.php ( 0.09 KB )
  71. /yingpanguazai/ssd/ssd1/www/h.460.net.cn/vendor/topthink/framework/src/think/Db.php ( 2.88 KB )
  72. /yingpanguazai/ssd/ssd1/www/h.460.net.cn/vendor/topthink/think-orm/src/DbManager.php ( 8.52 KB )
  73. /yingpanguazai/ssd/ssd1/www/h.460.net.cn/vendor/topthink/framework/src/think/Log.php ( 6.28 KB )
  74. /yingpanguazai/ssd/ssd1/www/h.460.net.cn/vendor/topthink/framework/src/think/Manager.php ( 3.92 KB )
  75. /yingpanguazai/ssd/ssd1/www/h.460.net.cn/vendor/psr/log/src/LoggerTrait.php ( 2.69 KB )
  76. /yingpanguazai/ssd/ssd1/www/h.460.net.cn/vendor/psr/log/src/LoggerInterface.php ( 2.71 KB )
  77. /yingpanguazai/ssd/ssd1/www/h.460.net.cn/vendor/topthink/framework/src/think/Cache.php ( 4.92 KB )
  78. /yingpanguazai/ssd/ssd1/www/h.460.net.cn/vendor/psr/simple-cache/src/CacheInterface.php ( 4.71 KB )
  79. /yingpanguazai/ssd/ssd1/www/h.460.net.cn/vendor/topthink/think-helper/src/helper/Arr.php ( 16.63 KB )
  80. /yingpanguazai/ssd/ssd1/www/h.460.net.cn/vendor/topthink/framework/src/think/cache/driver/File.php ( 7.84 KB )
  81. /yingpanguazai/ssd/ssd1/www/h.460.net.cn/vendor/topthink/framework/src/think/cache/Driver.php ( 9.03 KB )
  82. /yingpanguazai/ssd/ssd1/www/h.460.net.cn/vendor/topthink/framework/src/think/contract/CacheHandlerInterface.php ( 1.99 KB )
  83. /yingpanguazai/ssd/ssd1/www/h.460.net.cn/app/Request.php ( 0.09 KB )
  84. /yingpanguazai/ssd/ssd1/www/h.460.net.cn/vendor/topthink/framework/src/think/Request.php ( 55.78 KB )
  85. /yingpanguazai/ssd/ssd1/www/h.460.net.cn/app/middleware.php ( 0.25 KB )
  86. /yingpanguazai/ssd/ssd1/www/h.460.net.cn/vendor/topthink/framework/src/think/Pipeline.php ( 2.61 KB )
  87. /yingpanguazai/ssd/ssd1/www/h.460.net.cn/vendor/topthink/think-trace/src/TraceDebug.php ( 3.40 KB )
  88. /yingpanguazai/ssd/ssd1/www/h.460.net.cn/vendor/topthink/framework/src/think/middleware/SessionInit.php ( 1.94 KB )
  89. /yingpanguazai/ssd/ssd1/www/h.460.net.cn/vendor/topthink/framework/src/think/Session.php ( 1.80 KB )
  90. /yingpanguazai/ssd/ssd1/www/h.460.net.cn/vendor/topthink/framework/src/think/session/driver/File.php ( 6.27 KB )
  91. /yingpanguazai/ssd/ssd1/www/h.460.net.cn/vendor/topthink/framework/src/think/contract/SessionHandlerInterface.php ( 0.87 KB )
  92. /yingpanguazai/ssd/ssd1/www/h.460.net.cn/vendor/topthink/framework/src/think/session/Store.php ( 7.12 KB )
  93. /yingpanguazai/ssd/ssd1/www/h.460.net.cn/vendor/topthink/framework/src/think/Route.php ( 23.73 KB )
  94. /yingpanguazai/ssd/ssd1/www/h.460.net.cn/vendor/topthink/framework/src/think/route/RuleName.php ( 5.75 KB )
  95. /yingpanguazai/ssd/ssd1/www/h.460.net.cn/vendor/topthink/framework/src/think/route/Domain.php ( 2.53 KB )
  96. /yingpanguazai/ssd/ssd1/www/h.460.net.cn/vendor/topthink/framework/src/think/route/RuleGroup.php ( 22.43 KB )
  97. /yingpanguazai/ssd/ssd1/www/h.460.net.cn/vendor/topthink/framework/src/think/route/Rule.php ( 26.95 KB )
  98. /yingpanguazai/ssd/ssd1/www/h.460.net.cn/vendor/topthink/framework/src/think/route/RuleItem.php ( 9.78 KB )
  99. /yingpanguazai/ssd/ssd1/www/h.460.net.cn/route/app.php ( 1.72 KB )
  100. /yingpanguazai/ssd/ssd1/www/h.460.net.cn/vendor/topthink/framework/src/think/facade/Route.php ( 4.70 KB )
  101. /yingpanguazai/ssd/ssd1/www/h.460.net.cn/vendor/topthink/framework/src/think/route/dispatch/Controller.php ( 4.74 KB )
  102. /yingpanguazai/ssd/ssd1/www/h.460.net.cn/vendor/topthink/framework/src/think/route/Dispatch.php ( 10.44 KB )
  103. /yingpanguazai/ssd/ssd1/www/h.460.net.cn/app/controller/Index.php ( 4.81 KB )
  104. /yingpanguazai/ssd/ssd1/www/h.460.net.cn/app/BaseController.php ( 2.05 KB )
  105. /yingpanguazai/ssd/ssd1/www/h.460.net.cn/vendor/topthink/think-orm/src/facade/Db.php ( 0.93 KB )
  106. /yingpanguazai/ssd/ssd1/www/h.460.net.cn/vendor/topthink/think-orm/src/db/connector/Mysql.php ( 5.44 KB )
  107. /yingpanguazai/ssd/ssd1/www/h.460.net.cn/vendor/topthink/think-orm/src/db/PDOConnection.php ( 52.47 KB )
  108. /yingpanguazai/ssd/ssd1/www/h.460.net.cn/vendor/topthink/think-orm/src/db/Connection.php ( 8.39 KB )
  109. /yingpanguazai/ssd/ssd1/www/h.460.net.cn/vendor/topthink/think-orm/src/db/ConnectionInterface.php ( 4.57 KB )
  110. /yingpanguazai/ssd/ssd1/www/h.460.net.cn/vendor/topthink/think-orm/src/db/builder/Mysql.php ( 16.58 KB )
  111. /yingpanguazai/ssd/ssd1/www/h.460.net.cn/vendor/topthink/think-orm/src/db/Builder.php ( 24.06 KB )
  112. /yingpanguazai/ssd/ssd1/www/h.460.net.cn/vendor/topthink/think-orm/src/db/BaseBuilder.php ( 27.50 KB )
  113. /yingpanguazai/ssd/ssd1/www/h.460.net.cn/vendor/topthink/think-orm/src/db/Query.php ( 15.71 KB )
  114. /yingpanguazai/ssd/ssd1/www/h.460.net.cn/vendor/topthink/think-orm/src/db/BaseQuery.php ( 45.13 KB )
  115. /yingpanguazai/ssd/ssd1/www/h.460.net.cn/vendor/topthink/think-orm/src/db/concern/TimeFieldQuery.php ( 7.43 KB )
  116. /yingpanguazai/ssd/ssd1/www/h.460.net.cn/vendor/topthink/think-orm/src/db/concern/AggregateQuery.php ( 3.26 KB )
  117. /yingpanguazai/ssd/ssd1/www/h.460.net.cn/vendor/topthink/think-orm/src/db/concern/ModelRelationQuery.php ( 20.07 KB )
  118. /yingpanguazai/ssd/ssd1/www/h.460.net.cn/vendor/topthink/think-orm/src/db/concern/ParamsBind.php ( 3.66 KB )
  119. /yingpanguazai/ssd/ssd1/www/h.460.net.cn/vendor/topthink/think-orm/src/db/concern/ResultOperation.php ( 7.01 KB )
  120. /yingpanguazai/ssd/ssd1/www/h.460.net.cn/vendor/topthink/think-orm/src/db/concern/WhereQuery.php ( 19.37 KB )
  121. /yingpanguazai/ssd/ssd1/www/h.460.net.cn/vendor/topthink/think-orm/src/db/concern/JoinAndViewQuery.php ( 7.11 KB )
  122. /yingpanguazai/ssd/ssd1/www/h.460.net.cn/vendor/topthink/think-orm/src/db/concern/TableFieldInfo.php ( 2.63 KB )
  123. /yingpanguazai/ssd/ssd1/www/h.460.net.cn/vendor/topthink/think-orm/src/db/concern/Transaction.php ( 2.77 KB )
  124. /yingpanguazai/ssd/ssd1/www/h.460.net.cn/vendor/topthink/framework/src/think/log/driver/File.php ( 5.96 KB )
  125. /yingpanguazai/ssd/ssd1/www/h.460.net.cn/vendor/topthink/framework/src/think/contract/LogHandlerInterface.php ( 0.86 KB )
  126. /yingpanguazai/ssd/ssd1/www/h.460.net.cn/vendor/topthink/framework/src/think/log/Channel.php ( 3.89 KB )
  127. /yingpanguazai/ssd/ssd1/www/h.460.net.cn/vendor/topthink/framework/src/think/event/LogRecord.php ( 1.02 KB )
  128. /yingpanguazai/ssd/ssd1/www/h.460.net.cn/vendor/topthink/think-helper/src/Collection.php ( 16.47 KB )
  129. /yingpanguazai/ssd/ssd1/www/h.460.net.cn/vendor/topthink/framework/src/think/facade/View.php ( 1.70 KB )
  130. /yingpanguazai/ssd/ssd1/www/h.460.net.cn/vendor/topthink/framework/src/think/View.php ( 4.39 KB )
  131. /yingpanguazai/ssd/ssd1/www/h.460.net.cn/vendor/topthink/framework/src/think/Response.php ( 8.81 KB )
  132. /yingpanguazai/ssd/ssd1/www/h.460.net.cn/vendor/topthink/framework/src/think/response/View.php ( 3.29 KB )
  133. /yingpanguazai/ssd/ssd1/www/h.460.net.cn/vendor/topthink/framework/src/think/Cookie.php ( 6.06 KB )
  134. /yingpanguazai/ssd/ssd1/www/h.460.net.cn/vendor/topthink/think-view/src/Think.php ( 8.38 KB )
  135. /yingpanguazai/ssd/ssd1/www/h.460.net.cn/vendor/topthink/framework/src/think/contract/TemplateHandlerInterface.php ( 1.60 KB )
  136. /yingpanguazai/ssd/ssd1/www/h.460.net.cn/vendor/topthink/think-template/src/Template.php ( 46.61 KB )
  137. /yingpanguazai/ssd/ssd1/www/h.460.net.cn/vendor/topthink/think-template/src/template/driver/File.php ( 2.41 KB )
  138. /yingpanguazai/ssd/ssd1/www/h.460.net.cn/vendor/topthink/think-template/src/template/contract/DriverInterface.php ( 0.86 KB )
  139. /yingpanguazai/ssd/ssd1/www/h.460.net.cn/runtime/temp/dccdcfeff1941d123b17292ae4c6c9a3.php ( 11.98 KB )
  140. /yingpanguazai/ssd/ssd1/www/h.460.net.cn/vendor/topthink/think-trace/src/Html.php ( 4.42 KB )
  1. CONNECT:[ UseTime:0.000526s ] mysql:host=127.0.0.1;port=3306;dbname=h460;charset=utf8mb4
  2. SHOW FULL COLUMNS FROM `fenlei` [ RunTime:0.000750s ]
  3. SELECT * FROM `fenlei` WHERE `fid` = 0 [ RunTime:0.000306s ]
  4. SELECT * FROM `fenlei` WHERE `fid` = 63 [ RunTime:0.000311s ]
  5. SHOW FULL COLUMNS FROM `set` [ RunTime:0.000470s ]
  6. SELECT * FROM `set` [ RunTime:0.000200s ]
  7. SHOW FULL COLUMNS FROM `article` [ RunTime:0.000507s ]
  8. SELECT * FROM `article` WHERE `id` = 460052 LIMIT 1 [ RunTime:0.003259s ]
  9. UPDATE `article` SET `lasttime` = 1777218922 WHERE `id` = 460052 [ RunTime:0.009354s ]
  10. SELECT * FROM `fenlei` WHERE `id` = 64 LIMIT 1 [ RunTime:0.000281s ]
  11. SELECT * FROM `article` WHERE `id` < 460052 ORDER BY `id` DESC LIMIT 1 [ RunTime:0.001835s ]
  12. SELECT * FROM `article` WHERE `id` > 460052 ORDER BY `id` ASC LIMIT 1 [ RunTime:0.001426s ]
  13. SELECT * FROM `article` WHERE `id` < 460052 ORDER BY `id` DESC LIMIT 10 [ RunTime:0.000656s ]
  14. SELECT * FROM `article` WHERE `id` < 460052 ORDER BY `id` DESC LIMIT 10,10 [ RunTime:0.009384s ]
  15. SELECT * FROM `article` WHERE `id` < 460052 ORDER BY `id` DESC LIMIT 20,10 [ RunTime:0.016586s ]
0.112084s