

钠离子电池因钠资源丰富、成本低廉,被视为大规模储能的理想体系,但其负极材料硬碳的储钠机制长期存在争议——低电压平台区域的容量究竟源于钠离子在类石墨层间的嵌入还是纳米孔内的填充,这一科学问题制约了高性能材料的理性设计。传统硬碳合成工艺普遍存在能耗高、耗时长、结构调控能力有限等瓶颈,难以满足产业化需求。
针对上述挑战,本研究提出一种基于瞬态焦耳热技术的超快烧结策略,以生物质醋渣为前驱体制备硬碳材料。该策略的关键参数:在氩气氛围中,通过施加36 V电压和83 A电流,于60秒内快速升温至2500°C,保温180秒后70秒冷却至室温,全过程仅需310秒。通过与传统长时间碳化工艺(1400°C、升温速率3°C min⁻¹、保温3小时)的系统对比,结合多尺度结构表征与电化学分析,成功解析了石墨微域与闭孔结构对平台容量的贡献。
研究发现,焦耳热样品F-HC2500具有丰富的微孔(0.040 cm³ g⁻¹)和闭孔(0.099 cm³ g⁻¹),呈现出"吸附-嵌入-填充"三阶段储钠机制,其中闭孔填充贡献率达33.7%,显著高于传统样品的12.4%。该工作不仅厘清了硬碳平台储钠机制的关键争议,同时建立了一种高效、可规模化的合成路径,为高性能钠电负极材料的理性设计提供了新的思路。
相关成果以“Kinetically Controlled Microstructural Engineering of Hard Carbon via Transient Sintering: Decoupling the Contributions of Graphitic Domains and Closed Pores to Sodium Storage”为题发表在期刊《Carbon》上。
1. 采用瞬态焦耳热超快烧结策略,310秒内完成硬碳制备,效率提升125倍
2. 揭示"吸附-嵌入-填充"三阶段储钠机制,闭孔填充贡献率高达33.7%
3. 原位拉曼光谱首次证实有限石墨微域下的储钠机制差异

图1a示意性地对比了两种碳化工艺:传统高温炉碳化需10.7小时,而焦耳热技术仅需310秒即可完成从醋渣到硬碳的转化。SEM图像显示,常规样品C-HC1400呈现4–7 μm的不规则块状颗粒(图1b,c),而焦耳热样品F-HC2500颗粒尺寸减小至2–5 μm(图1e,f),这一差异源于快速升温过程中巨大的热梯度导致的热应力碎裂。HRTEM图像进一步揭示了两者的微观结构差异:C-HC1400具有明显的类石墨微区,层间距为0.393 nm(图1d);F-HC2500则展现出更为丰富的微孔和闭孔结构,层间距缩小至0.374 nm(图1g),表明超快烧结限制了石墨微晶的生长并促进了孔隙结构的发育。

XRD图谱显示两样品均呈现典型的无序碳特征,其中(002)衍射峰的R因子分析表明C-HC1400的石墨化程度略高于F-HC2500(图2a,b)。Raman光谱拟合结果显示F-HC2500具有更高的ID1/IG比值,证实其存在更多的结构缺陷(图2c)。定量分析表明,从F-HC2500到C-HC1400,d002层间距、堆叠厚度Lc和横向尺寸La均呈现增大趋势(图2d),印证了碳化工艺对微结构的调控作用。N2吸脱附等温线显示两样品均具有介孔和大于1.2 nm的微孔(图2e,f),而CO2吸附测试进一步揭示F-HC2500在0.4–0.9 nm的超微孔范围内具有显著的吸附容量,孔容达0.040 cm³ g⁻¹,而C-HC1400仅为0.009 cm³ g⁻¹(图2g,h)。基于氦真密度测试计算的闭孔孔容显示,F-HC2500的闭孔孔容为0.099 cm³ g⁻¹,显著高于C-HC1400(图2i),证实焦耳热工艺有利于形成丰富的闭孔结构。

CV曲线显示两样品均在0.04/0.10 V处呈现一对明显的氧化还原峰,对应钠离子在类石墨层间的嵌入/脱出过程(图3a)。恒流充放电测试表明,F-HC2500和C-HC1400在0.1 C下的首周充电比容量分别为315 mAh g⁻¹和316 mAh g⁻¹,ICE分别为76.1%和77.8%(图3b,c)。将容量分解为斜坡区(>0.1 V,缺陷位吸附)和平台区(<0.1 V,嵌入/填充)后发现,F-HC2500的斜坡容量(135.3 mAh g⁻¹)高于C-HC1400(120.3 mAh g⁻¹),归因于其更高的缺陷浓度;而其平台容量(179.7 mAh g⁻¹)低于C-HC1400(195.7 mAh g⁻¹),与后者更大的层间距有利于钠离子嵌入一致(图3d)。倍率性能测试显示,F-HC2500在10 C下仍保持181 mAh g⁻¹的容量,显著优于C-HC1400(图3e),且在1 C循环100圈后容量保持率达90.6%(图3f),展现了优异的动力学特性和循环稳定性。

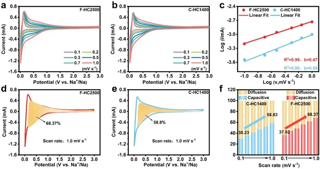
不同扫描速率下的CV曲线(图4a,b)用于分析储钠动力学。根据峰值电流与扫描速率的幂律关系,F-HC2500和C-HC1400在平台区域的b值分别为0.47和0.58(图4c),均接近0.5,表明该电位区间的储钠过程以扩散控制为主。通过定量分离电容贡献(图4d,e),发现F-HC2500在1.0 mV s⁻¹扫描速率下的电容贡献率达68.37%,在各扫描速率下均高于C-HC1400(图4f),这解释了其优异倍率性能的来源——丰富的缺陷和孔隙结构增强了表面电容行为。

原位拉曼光谱监测了首周充放电过程中碳结构的变化。对于C-HC1400,当电压从0.619 V降至0.10 V时,G峰分裂为1537 cm⁻¹和1602 cm⁻¹两个组分(图5a,b),分别对应钠-石墨插层化合物内部石墨层和边界层的振动模式,明确指示了钠离子的层间嵌入。而F-HC2500在整个放电过程中G峰仅发生红移,未出现峰分裂(图5c,d),表明其有限的石墨微域尺寸不足以形成有序的插层化合物,钠离子在平台区域的储存机制与C-HC1400存在本质差异。

酚酞实验证实两样品放电至0 V后均能使酚酞溶液变红(图6a,b),表明电极中均存在准金属钠填充现象。基于闭孔孔容计算的理论填充容量显示,C-HC1400和F-HC2500的极限填充容量分别为41.8 mAh g⁻¹和111.9 mAh g⁻¹(图6c)。GITT测试计算的钠离子扩散系数在低电位区域出现明显拐点(图6d,e):F-HC2500在0.053 V处扩散系数突增,对应闭孔填充的起始;C-HC1400的拐点出现在0.030 V。基于此拐点确定的第二周闭孔填充容量,F-HC2500为107.7 mAh g⁻¹,C-HC1400为39.8 mAh g⁻¹,与理论值高度吻合。综合各阶段容量贡献(图6f),F-HC2500的吸附、嵌入和填充容量占比分别为14.5%、51.8%和33.7%,呈现均衡的三阶段贡献;而C-HC1400的嵌入容量占比高达77.1%,填充仅占12.4%(图6h)。基于此,研究提出了"吸附-嵌入-填充"的三阶段储钠机制模型(图6g):斜坡区对应钠离子在表面和缺陷位的吸附,平台区上段为类石墨层间的嵌入,平台区下段则为闭孔内的准金属钠填充。
本研究创新性地将瞬态焦耳热技术引入生物质硬碳的制备,通过动力学控制的超快烧结策略(310秒内完成碳化)成功构建了兼具丰富微孔(0.040 cm³ g⁻¹)和闭孔(0.099 cm³ g⁻¹)的独特微观结构,其储钠机制遵循"吸附-嵌入-填充"三阶段模型——通过原位拉曼光谱首次证实,在有限石墨微域尺寸下,低电压平台区域的容量由层间嵌入和闭孔填充共同贡献,其中闭孔填充贡献高达33.7%(理论计算与GITT实测高度吻合),显著高于传统工艺的12.4%。
得益于这种均衡的协同储钠机制,F-HC2500实现了315 mAh g⁻¹的高可逆容量、优异的倍率性能(10 C下181 mAh g⁻¹)及长循环稳定性(300圈后容量保持221 mAh g⁻¹),其动力学优势源于闭孔填充过程较层间嵌入具有更低的扩散势垒。该工作不仅厘清了长期争议的硬碳平台储钠机制,更建立了一种高效、可规模化的合成路径,实现了从实验室基础研究到实际应用的技术衔接,未来可探索该方法在其他碳基储能材料微观结构精准调控中的普适性应用。
中科精研自主研发的焦耳加热设备,采用先进的毫秒级超快升温技术,可在极短时间内实现高温处理,广泛应用于纳米材料制备、催化剂合成、电池材料研发等领域。

毫秒级升温速率 | 精准温控系统 | 多种气氛环境 | 操作简便安全
