
老化SBS 改性沥青(SMB)的高效再生对实现低碳发展意义重大,当前研究多聚焦整体再生,缺少对 SBS 单一组分老化行为与再生机制的深入研究,因此需开展 SBS 单独研究并实现 SMB 靶向再生。本文基于再生剂对老化 SMB 的润湿性,探究 SBS 靶向修复与整体再生机制:以废机油(WEO)、植物油(VO)为沥青组分调节剂,三羟甲基丙烷三缩水甘油醚(TMPTE)、1,4 - 丁二醇二缩水甘油醚(BUDGE)为 SBS 结构修复剂,借助荧光显微镜(FM)、傅里叶红外光谱(FTIR)、凝胶渗透色谱(GPC)及动态剪切流变(DSR)等手段,系统分析 SBS 老化与再生过程中的结构演变及性能恢复规律。结果表明,WEO 较低的表面张力(29.0 mN/m)与较高渗透功(255.0 mJ/m²)使其对沥青的扩散与延缓老化效果优于 VO;TMPTE 与 BUDGE 可通过环氧基团与老化 SBS 的羟基、羧基反应重建三嵌段结构,其中 TMPTE 修复效果更优,可使再生 SMB 低温延度恢复至未老化水平。该研究提出 “组分调节 - 结构修复” 复合再生策略,为老化 SMB 靶向再生提供新思路,助力沥青路面材料可持续发展。

近日,太原理工大学何宏伟副教授在《Polymer》期刊上发表了题为Regenerated mechanismand targeted repair of aged SBSand regeneration of aged SBS modified bitumen (SMB)based on the wettability的文章。如图1,该论文以90号基质沥青、线型SBS为原料制备SBS 改性沥青(SMB),经压力老化得到老化SMB(SMB-aged);选取废机油(WEO)、植物油(VO)为沥青组分调节剂,三羟甲基丙烷三缩水甘油醚(TMPTE)、1,4 - 丁二醇二缩水甘油醚(BUDGE)为SBS 环氧型结构修复剂,搭配BDMA 催化剂制备复合再生剂,对SMB-aged 开展再生研究。系统分析油分对SBS的保护作用、再生剂对老化SBS的结构修复机制及复合再生剂对SMB-aged的再生效果,揭示润湿性对SBS靶向修复及SMB整体再生的影响规律。结果表明,表面张力更低、润湿性和渗透性更优的WEO对SBS的长期抗老化保护作用显著优于VO,TMPTE和BUDGE均能通过环氧基团与老化SBS的羟基、羧基反应重建其三嵌段结构与网络,且TMPTE修复效果更突出。

图1 图像摘要
SBS在不同油分中溶胀的FM如图2所示。对于WEO/SBS混合物,可知 WEO发出圆形荧光点。85 μm和46 μm的荧光点(图2b中的白色虚线框)在室温下3 s后可以融合成一个大的约200 μm荧光点上(图2c中的白色虚线框)。这一过程是油分在SBS中扩散行为的体现。当油分在SBS中扩散2 h即溶胀2 h后,可知图2(d)中,SBS在WEO中形成了一个连续的网络结构。在图2(e)中,容器底部油分含量较高,SBS含量较少,呈液体状态,可以发出100 μm的孤立斑点状荧光(图2f)。这部分样品的组成为油分和少量SBS,因此发现荧光图中既有单独植物油的点状荧光,又有被植物油紧紧包裹的SBS的荧光(图2f白色虚线框)。在油分充分扩散的固体样品荧光图中(图2g和2h),发现SBS在VO中形成了紧密的网络结构。综上所述,溶胀的2 h也是油分在SBS中扩散的2 h。溶胀后SBS可以在油分中形成连续的网络结构,其物理状态也由固液混合物转变成果冻状固体。证明溶胀后SBS的性能得到增强。

图2不同油 / SBS 混合物的荧光显微镜(FM)图像及实物照片:(a) WEO/SBS 溶胀 2 h 后的实物照片;(b) WEO/SBS 的 4 倍荧光显微镜图;(c) WEO/SBS 静置 3 s 后的 4 倍荧光显微镜图;(d) WEO/SBS 的 40 倍荧光显微镜图;(e) VO/SBS 的实物照片;(f) VO/SBS 液体样品溶胀 2 h 后的 4 倍荧光显微镜图;(g) VO/SBS 固体样品溶胀 2 h 后的 4 倍荧光显微镜图;(h) VO/SBS 固体样品溶胀 2 h 后的 40 倍荧光显微镜图。
图3为SBS在不同油分中老化36 h。可知,WEO/SBS和VO/SBS 的网络结构都被破坏(图3b和图3d),且VO/SBS的网络结构破坏更为严重,几乎看不到SBS在VO中形成的结构(图3d),其实物照片是流动的液体(图 3c), 直观表明 VO/SBS 体系降解非常严重。这说明老化36 h时,WEO对于SBS的保护作用强于VO。这是因为老化24 h时,植物油极性较高,与SBS的丁二烯相相容性更好,溶胀后形成更均匀的网络,短期老化中分子链重排较慢。废机油含非极性烃类(如烷烃、芳烃)和杂质,可能导致SBS溶胀不均,局部应力集中加速结构破坏。而老化36 h后,植物油的抗氧化剂在24 h内消耗殆尽,其不饱和脂肪酸(如亚油酸)在长期氧化后生成自由基,反而加速SBS链断裂(尤其是丁二烯相),导致网络结构彻底崩溃。废机油中的饱和烃类(如矿物油基础油)氧化稳定性较高,长期老化后对SBS的破坏作用弱于氧化后的植物油。因此,植物油对SBS存在初期保护,后期促进降解的双重用;废机油对SBS存在初期降解,后期稳定的“钝化”作用。

图3老化 36 h 后油 / SBS 混合物的实物照片及荧光显微镜(FM)图像:(a) WEO/SBS老化 36 h 的实物照片;(b) WEO/SBS老化 36 h 的 20 倍荧光显微图;(c) VO/SBS老化 36 h 的实物照片;(d) VO/SBS老化 36 h 的 20 倍荧光显微图。
图4为SBS/油分混合物在老化和再生前后的模量图。图4a发现未老化时,G’ > G”,此时WEO/SBS呈弹性。随着老化时间的延长,G’越来越小,且G’和G”之间的差距越来越小,说明SBS在WEO中溶胀形成的网络结构逐渐被破坏。在图4b中,VO/SBS在老化时间达到36 h时,G” > G’,呈黏性,这也与实物照片相对应(图3c)。说明36 h时,WEO对SBS的抗老化保护作用大于VO。图4c和4d发现再生后,WEO/SBS和VO/SBS的储能模量恢复,呈弹性。说明BUDGE和TMPTE连接了老化SBS,实现了SBS网络结构的恢复。


图4 SBS / 油混合物再生前后的模量:(a) WEO/SBS 老化前后;(b) VO/SBS 老化前后;(c) WEO/SBS 再生前后;(d) VO/SBS 再生前后。
图5为WEO和VO在老化沥青中的润湿性能。接触角越小,表面张力越小,润湿速率越好,渗透功越大。可知,WEO的润湿速率和渗透功都优于VO。此外,发现黏度与润湿速率和渗透功成反比,黏度越小,渗透功和润湿速率越好。这是因为沥青中存在大量的微小空隙和孔隙。低黏度油分更容易通过毛细作用渗入沥青的微小孔隙和裂纹中,提升渗透性。且其分子运动速度更快,扩散能力更强, 能够更深入地进入沥青的内部结构,从而改善渗透性。此外,低黏度的油分更容易在沥青表面铺展开来,形成均匀薄膜。而且,其通常具有更低的表面张力,这使得它更容易在沥青表面上扩散并与其表面分子相互作用,增强润湿效果,从而改善润湿性。

图5基于接触角试验的润湿性能
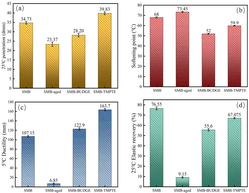
图6为不同SMB样品的物理性能。图6a发现老化后SMB的针入度降低,因为老化后轻组分的含量大大降低。再生后,SMB-TMPTE的针入度低于SMB-BUDGE,这可能是由于SMB-TMPTE中弹性成分含量高吸收了沥青中更多的轻质组分造成的。
在图6b中,老化后软化点增加,这是由于沥青在老化后轻质组分挥发,沥青变硬,同时也意味着高温性能增强。添加再生剂后,软化点降低。即使具有良好高温性能的SMB-TMPTE软化点也不能完全恢复到非老化水平。
由于老化,延度急剧下降(图6c),再生后SMB-BUDGE和SMB-TMPTE的延度得到恢复。SMB-TMPTE的良好延度可能是由于TMPTE在沥青中修复了SBS结构而形成相对连续的网络结构,因此低温性能优于SMB-BUDGE。值得注意的是,SMB-BUDGE的延度也达到未老化SMB的水平。
在图6d中,老化使SMB的弹性下降,因为SMB中的网络结构被破坏。当添加BUDGE /WEO或TMPTE/WEO再生剂时弹性恢复,两种再生SMB的弹性基本相同。上述物理性能测试证明了再生的有效性。

图6 两种再生剂对物理性能的影响:(a) 25 ℃针入度,(b) 软化点,(c) 5 ℃延度,(d) 25 ℃弹性恢复。
文章第一作者为太原理工大学材料科学与工程学院在读硕士研究生韩嘉承,通讯作者为何宏伟副教授。
文章链接:
https://www.sciencedirect.com/science/article/abs/pii/S0032386126001783?via%3Dihub
相关进展
太原理工何宏伟 Constr. Build. Mater.:PP/EVA共混物替代SBS在脱硫胶粉改性沥青中的增强机制与性能研究
太原理工大学何宏伟 Polym. Compos.:单宁酸-铁离子的金属骨架薄膜对聚酯纤维/橡胶复合材料性能的影响
太原理工何宏伟:不同结构环氧型反应性再生剂对老化SBS改性沥青的再生性能和修复机理
太原理工大学何宏伟 CEJ: 凝胶多糖Curdlan 连接的蜂窝状三维 BN-CNT 网络用于提高环氧树脂复合材料热导率
太原理工何宏伟:SBS改性沥青轻-中度老化性能的模拟与研究 - 物理、微观和流变性能

高分子科技原创文章。欢迎个人转发和分享,刊物或媒体如需转载,请联系邮箱:info@polymer.cn


诚邀投稿
欢迎专家学者提供稿件(论文、项目介绍、新技术、学术交流、单位新闻、参会信息、招聘招生等)至info@polymer.cn,并请注明详细联系信息。高分子科技®会及时推送,并同时发布在中国聚合物网上。
欢迎加入微信群 为满足高分子产学研各界同仁的要求,陆续开通了包括高分子专家学者群在内的几十个专项交流群,也包括高分子产业技术、企业家、博士、研究生、媒体期刊会展协会等群,全覆盖高分子产业或领域。目前汇聚了国内外高校科研院所及企业研发中心的上万名顶尖的专家学者、技术人员及企业家。
申请入群,请先加审核微信号PolymerChina(或长按下方二维码),并请一定注明:高分子+姓名+单位+职称(或学位)+领域(或行业),否则不予受理,资格经过审核后入相关专业群。

点
这里“阅读原文”,查看更多