当前位置:首页>太原>论文推荐|大牛地气田石炭系太原组深部煤储层孔隙结构非均质性及其控气作用

论文推荐|大牛地气田石炭系太原组深部煤储层孔隙结构非均质性及其控气作用

  • 2026-03-19 22:19:54
论文推荐|大牛地气田石炭系太原组深部煤储层孔隙结构非均质性及其控气作用

鄂尔多斯盆地东缘二叠系山西组5号煤覆压渗透率演化规律

李晓慧,  郝廷,  杨帅杰,  杨曙光,  马涛

DOI:10.19657/j.geoscience.1000-8527.202510170108 

摘要

我国深部煤层气资源潜力巨大,但高温压条件下煤储层孔隙结构复杂、非均质性强的特点严重制约其高效开发。大牛地气田太原组8#煤储层是典型的深部煤层,厘清其孔隙结构特征及控气作用对深部煤层气开发具有重要意义。本文基于高压压汞、低温N2吸附、低压CO2吸附、高温高压等温吸附实验,并结合分形理论,系统分析煤储层的全孔径结构、非均质性特征及对甲烷赋存的控制作用。研究结果表明:① 8#煤储层孔隙结构呈“L型”分布,<2 nm的超微孔主导孔隙体积和比表面积,孔隙体积占比>70%、比表面积占比>95%;微孔虽体积占比低,但其比表面积贡献显著。②分形维数显示,不同孔径范围非均质性差异显著,>100 nm的大孔和超大孔孔隙结构最复杂;镜质组有利于超微孔和微孔发育与复杂度提升,而惰质组与灰分普遍削弱孔隙发育。③8#煤储层含气性表现为高吸附气与高游离气共存,游离气占比普遍超过40%,以过饱和气藏为主。超微孔主控煤的吸附能力,微孔复杂度提升增强吸附能力,游离气主要受微孔与超大孔控制,分形复杂度升高时,其储集能力增强。明确孔隙结构差异性及控气机制可为深部煤层气高效开发与储层改造提供理论依据。

Abstract

China has enormous potential in deep coalbed methane(CBM)resources;however,under high-temperature and high-pressure conditions,the pore system of coal reservoirs becomes highly complex and strongly heterogeneous,which severely constrains efficient development.The No.8 coal seam of the Taiyuan Formation in the Daniudi Gas Field represents a typical deep coal reservoir.Clarifying its pore-structure characteristics and gas-controlling mechanisms is therefore critical for deep CBM exploitation.In this study,high-pressure mercury intrusion experiment,low-temperature N2 adsorption and CO2 adsorption,and methane isothermal adsorption experiments were conducted.combined with fractal analysis,we characterized the full pore-size distribution,heterogeneity,and their controls on methane occurrence.Results indicate that:(1)the poresize distribution is “L-shaped”,with ultramicropores(<2 nm)dominating pore volume(>70%)and specific surface area(>95%);micropores contribute disproportionately to surface area despite limited volume.(2)Fractal dimensions indicate significant heterogeneity across pore-size ranges,with pores>100 nm(macropores and super-macropores)displaying the most complex structure.Vitrinite favors the development of ultramicropores and micropores and increases their structural complexity,whereas inertinite and ash content generally impair pore development.(3)The gas content of the No.8 coal reservoir is characterized by the coexistence of high adsorbed gas and high free gas.Free gas commonly accounts for more than 40% of total gas content,indicating predominantly supersaturated reservoirs.Ultramicropores primarily control methane adsorption capacity,and increased micropore complexity further enhances adsorption.free gas is mainly governed by micropores and super-macropores and increases with higher fractal complexity.These findings provide a basis for reservoir evaluation and stimulation of deep CBM.

关键词

深部煤层气; 孔隙结构; 储层非均质性; 含气性; 太原组; 大牛地气田; 鄂尔多斯盆地 

Keywords

deep coalbed methane; pore structure; reservoir heterogeneity; gas content; Taiyuan Formation; Daniudi Gas Field; Ordos Basin 

0 引言

“十四五”以来,我国非常规天然气向深部加速扩展,深部煤层气在鄂尔多斯盆地东缘及盆地内部、准噶尔盆地、沁水盆地等地区持续取得勘探开发突破,显示出深部煤层气巨大的资源潜力[1-6]。鄂尔多斯盆地大牛地气田埋深超过2800 m的中阶煤深部煤层气获得高产工业气流与关键工程技术突破,对于我国深部煤层气的规模化开发具有重要意义。与中浅层煤层气以吸附气为主不同,深部煤层气普遍表现为吸附气与游离气并存甚至“并重”的赋存格局,但高地应力、高温及复杂压力系统约束下深部煤储层表现为物性更差、孔隙结构复杂、非均质性更强的特点[7-8]。厘清深部煤储层的微观储集空间结构特征及其对甲烷赋存控制机理,是深部煤层气精细评价与高效开发的关键科学问题。

煤储层孔隙-裂隙结构系统是煤层气赋存、解吸、扩散与渗流的核心空间,其发育程度、尺度分布、连通性及非均质性直接决定了煤层气的富集程度[9-12]。近年来,多尺度测试技术(如高压压汞、低温氮吸附/脱附、CO2吸附、场发射扫描电镜、微米CT、核磁共振等)的集成应用,使研究者得以在“微孔-介孔-宏孔/裂隙”全孔径尺度上对煤储层孔裂隙结构进行定量刻画,并进一步将孔结构参数与吸附能力、解吸效率、可动用流体空间相联系[13-16]。已有研究表明,深部煤储层存在明显的孔径分异和结构非均质性。主要表现在:一方面,微孔占比显著升高,成为吸附气的主要赋存场所;另一方面,中孔和大孔发育受限,裂隙系统因高地应力而闭合或充填,导致储层整体呈现“低孔、低渗、低压裂效率”的特征[1,17-18]。此外,深部条件下煤样的应力敏感性增强,孔隙-裂隙结构在温压耦合作用下易发生不可逆变形,进一步加剧了储层非均质性和各向异性[3,19]。

从含气性机理看,深部煤层气以吸附气和游离气两种赋存状态共同构成,并表现出随埋深变化的赋存态转化规律[20-24]。在地层压力正效应与温度负效应的动态平衡影响下,深度序列上煤层气可能呈现吸附性逐渐减弱而游离气含量升高的特征[20]。在这一过程中,微孔凭借巨大的比表面积与较强吸附势能,是吸附气最主要的赋存空间;而宏孔与微裂隙中的可流动空间则为游离气提供容纳与运移条件[7]。因此,孔径结构及其非均质性将直接影响深部煤层气的赋存方式、富集程度与产出效率。已有研究表明,不同的孔隙结构发育模式也控制着深部煤层气赋存特征,鄂尔多斯盆地大宁-吉县区块深部煤储层普遍发育双峰型,即微孔和宏孔较为发育,有利于多相态气体的共存,但不利于气体的运移和产出[25]。因此明确深部煤储层孔裂隙结构发育差异性特征及其对气体赋存的控制作用对指导深部煤层气高效开发具有重要意义。

大牛地气田前期勘探与开发实践表明,其深部煤储层物性与含气性呈现强烈的空间差异与非均质性特征,已成为制约深部煤层气规模化开发的重要因素[26-29]。目前其孔裂隙发育特征及对深部煤层气的赋存控制作用尚缺乏系统认识。因此,本研究以大牛地气田太原组8#煤储层为研究对象,采用高压压汞实验、低温N2吸附、CO2吸附实验、等温吸附及分形理论等多种测试计算手段,系统分析了深部煤储层微观孔裂隙结构发育的非均质性特征,并探讨了其对甲烷赋存的控制作用,以期为大牛地气田深部煤层气精细化开发提供科学指导。

1 地质背景

鄂尔多斯盆地大牛地气田位于盆地北部伊陕斜坡东段,构造位置隶属于华北板块西缘,是一个典型的克拉通内坳陷型沉积构造单元。区域构造整体呈西倾单斜,倾角不足1°,断裂不发育,构造变形微弱,具备良好的油气保存条件[28-29]。大牛地气田石炭系-二叠系在区域上具有典型的“多类型煤系气共存”特征,垂向上煤层向上变薄,砂岩增厚(图1)[30]。整体沉积环境由海相向陆相过渡,煤层主要形成于海退期的沼泽环境[31-32]。主要发育石炭系太原组8#煤储层和二叠系5#煤,其余煤层厚度较薄,连续性差[33]。8#煤层作为区域主力煤层之一,埋深普遍在2400~3000 m,厚度5~16 m(平均为11~12 m),横向分布稳定,呈西深东浅的特征[27]。形成于障壁海岸—潟湖—沼泽沉积体系,顶板以灰岩、泥岩为主,封盖性能优越;底板为铝土质泥岩或炭质泥岩,构成良好的顶底封闭组合。

图1  大牛地气田构造位置(a)及地层综合柱状图(b)

Fig.1  Structural location of the Daniudi Gas Field(a)and comprehensive stratigraphic column(b)

2 实验样品与方法

2.1 样品与实验方法

系统采集不同埋深及不同宏观煤岩类型的太原组8#煤储层煤样样品11块。煤样现场含气量解吸测试获取实测含气量后,送往实验室制备柱样和粉样用于开展显微组分、工业分析、高压压汞、低温N2吸附、低压CO2实验及甲烷等温吸附实验。为表征煤岩煤质特征,利用光度计显微镜开展随机镜质组反射率和显微组分鉴定,执行GB/T6948—2008和SY/T 6414—2014标准。执行GB/T 30732—2014标准对煤样空气干燥基水分、灰分、挥发分及固定碳含量进行分析。测试结果见表1。

表1  煤样品参数特征

Table 1  Characteristics of coal samples

孔径表征方面,煤储层孔隙结构呈现强烈非均质性特征,孔径大小从几纳米到数微米均有分布。前人根不同大小孔隙在煤储层中作用差异,将孔隙分为吸附孔(<100 nm)和渗流孔(>100 nm)。根据孔隙孔径大小目前国内常采用霍多特的十进制分类方案(微孔<10 nm;小孔10~100 nm;中孔100~1000 nm;大孔>1000 nm),而国际上常以IUPAC的分类方案(微孔<2 nm;中孔2~50 nm;大孔>50 nm)[34]最为常用。为更精细表征深部煤储层孔隙结构特征及其对含气性影响,本文采用Cai等提出的融合方案,即:超微孔<2 nm;微孔2~10 nm;中孔10~100 nm;大孔100~1000 nm;超大孔>1000 nm[19]。高压压汞实验采用AUTO-PORE 9500压汞仪,严格依据GB/T 21650.1-2008标准执行。气体吸附实验(低温N2吸附以及低压CO2实验)采用ASAP 2425型全自动比表面与孔径分析仪,实验过程严格依据GB/T 21650.3—2011标准执行。高温高压等温吸附实验采用Rubotherm等温吸附仪,参照NB/T 10117—2018严格执行。实验测试温度为85℃,设置15个压力点,最高压力设置为30 MPa。

2.2 分形理论

非常规储层的孔隙具有统计意义上的自相似性,因而分形维数是表征煤储层微观表面结构和非均质性的有效工具[35-36]。不同的测试手段、不同的孔径范围的分形计算模型有所差异[37]。因而在本研究中采用不同分形计算模型分别对高压压汞测试和气体吸附测井进行分形维数计算。

煤中小于2 nm的超微孔的表面分形维数可通过分析低压条件下CO2吸附量和相对压力之间关系进行计算,计算公式如下[38]:

式中,P为相对压力,无量纲;Dm为超微孔表面分形维数,无量纲;C为常数,无量纲;其中A(P)和B(P)分别可以表示为:

式中,Nmax为相对压力最大时气体吸附量,cm3/g;N(P)为相对压力为P时的气体吸附量,cm3/g;r(p)为相对压力为P时对应的煤样平均孔径,nm;其表达式为:

式中,σ为吸附态CO2的表面张力;Vm为摩尔体积,22.4 L/mol;R为理想气体常数,8.314 J/(mol·K);T为温度,K。

用于表征微孔和中孔的N2吸附实验可利用FHH模型计算其分形维数,其基于毛细管聚凝机制,适用于多孔介质非均质性的研究。计算公式如下[39-40]:

式中,Dn为微孔和中孔分形维数,无量纲;V表示气体吸附量,cm3/g;P表示系统平衡压力,MPa;P0为气体饱和蒸汽压,MPa;C为常数,无量纲。

高压压汞技术常用于表征煤储层大孔和超大孔特征。利用其进汞饱和度和毛细管压力关系可以计算孔隙分形维数。本研究中采用基于含水饱和度的毛管束计算模型,其计算公式为[41]:

式中,Dh为大孔和超大孔分形维数,无量纲;SHg为进汞饱和度,%;Pc为毛细管压力,MPa;Pmin为最大孔喉半径对应的毛细管压力,MPa。

3 实验结果

3.1 高压压汞表征孔径特征

基于高压压汞实验的毛细管压力曲线形态特征,8#煤储层主要包含三种类型的孔隙结构类型[7],其特征及物性参数如图2和表2所示。Ⅰ型孔隙结构主要特征为进汞曲线和退汞曲线呈“平行型”,无滞后环或滞后环很小(图2a)。排驱压力较小,累计进汞饱和度大于70%以上,退汞效率达90%以上。毛细管压力小于10 MPa时,进汞量缓慢增加,当大于10 MPa后,进汞曲线形态变缓,进汞量迅速增大。Ⅱ型孔隙结构表现为进退汞曲线呈“分离型”,存在较大的滞后环,排驱压力较Ⅰ型大(图2b)。进汞量介于60%~70%之间,退汞效率较低。进汞曲线主要呈两段式分布,毛细管压力小于30 MPa时,进汞曲线陡直,进汞量增加缓慢。在毛细管压力达到30 MPa以后,进汞量迅速增加,表明大于40 nm的孔隙欠发育。Ⅲ型孔隙结构表现为进退汞曲线呈陡直分布,进退汞曲线间滞后环较小(图2c),排驱压力高,进汞效率低于60%,退汞效率大于80%。进汞曲线呈一段式分布,进汞量整体呈现缓慢增加,仅在毛细管压力大于100 MPa之后,出现短暂的进汞量迅速增大阶段。表明该类煤样中直径在100 nm以上的大孔和超大孔几乎不发育。

图2  高压压汞实验毛细管压力曲线特征

Fig.2  Capillary pressure curve characteristics from high-pressure mercury intrusion experiments

表2  高压压汞实验物性参数

Table 2  Physical parameters from high-pressure mercury intrusion experiments

3.2 低温液氮表征孔径特征

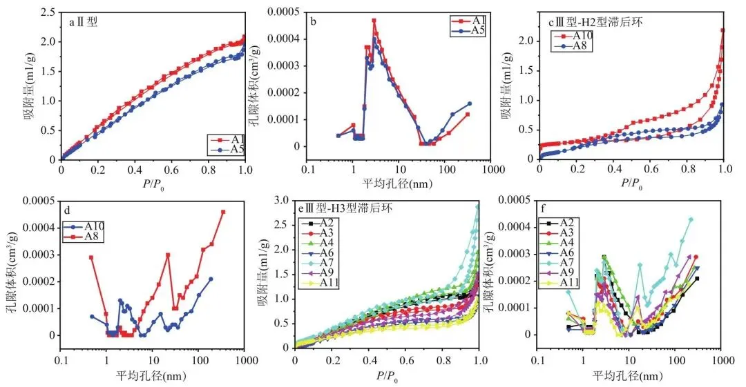
低温液氮吸附实验是表征微孔和中孔的有效手段,基于IUPAC对N2吸附脱附曲线及滞后环分类标准[42],太原组8#煤储层吸/脱附曲线主要表现为三种类型。A型表现为Ⅱ型吸附线,无明显滞后环(图3a)。在相对压力小于0.9的阶段,吸附量平稳增加,而后接近饱和压力区发生毛细管凝聚,吸附量快速上升。表明该类煤样中以一端封闭的圆筒形孔、平板状孔等半封闭孔为主。该类型孔隙结构在孔径2~10 nm间出现孔体积的高峰区,主要以发育微孔为主(图3b),整体孔隙体积较小,但比表面积大(表3)。B型表现为Ⅲ型吸附线(图3c),吸脱附曲线在低压区(P/P0<0.3)发生重合,中压区(P/P0=0.4~0.8),吸附量缓慢增加,高压区吸附量急剧上升。吸脱附曲线在相对压力约0.5时分离,形成H2型宽滞后环,表明该类煤储层发育“墨水瓶”孔为主,有利于煤层气的赋存。孔径分布特征表明其主要发育孔径大于10 nm的孔隙(图3d),其总孔隙体积较大,而比表面积相对较小。C型为Ⅲ型吸附线,但其形成不闭合的H3型窄滞后环(图3e)。反映了该类煤储层主要以开放型的圆筒孔或平板状孔为主。该类型孔径分布呈现“双峰”特征,分别在孔径3 nm和100 nm左右出现两个峰值。

图3  低温N2吸附曲线及孔径分布

Fig.3  Low-temperature nitrogen adsorption curves and pore size distribution

表3  低温N2吸附煤样孔隙特征

Table 3  Pore characteristics of coal samples from low-temperature N2 adsorption

3.3 CO2吸附实验表征孔径特征

深部煤储层中发育大量的超微孔,受限于低温液氮实验的表征精度,本文采用CO2吸附实验分析深部煤样超微孔的孔隙结构特征。各煤样样品的CO2吸附曲线均随相对压力增大而增大,呈上凸形(图4a)。气孔体积和比表面积分布均主要呈双峰特征,少数样品在0.4 nm附近出现峰值较低的峰,而呈现三峰分布,但主要峰值均出现在孔径0.5 nm和0.9 nm左右,表明该范围内孔隙是比表面积和孔隙体积的主要贡献者(图4b,c)。DFT方法计算表明,CO2吸附实验比表面积介于42.05~110.72 m2/g,孔隙体积介于0.015~0.042 m3/g之间。与低温液氮吸附实验对比发现,深部煤储层中小于2 nm孔隙的比表面积和孔隙体积约为中孔几十至上百倍,表明了超微孔为煤层中气体吸附的主要空间。

图4  CO2吸附曲线及孔径分布特征

Fig.4  CO2 adsorption curve and pore size distribution characteristics

3.4 煤储层孔隙结构全孔径表征

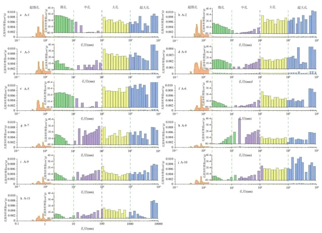
在针对不同测试方法选取适用的计算模型获取孔径分布范围后,利用低压CO2吸附测定0.3~2 nm孔径范围,低温N2气体吸附法测定2~100 nm孔径范围,高压压汞测试测定大于100 nm孔径范围。全孔径范围孔隙结构特征如图5和表4所示。

图5  多方法联测下的全孔径分布特征

Fig.5  Full pore size distribution characteristics from multi-method integrated measurement

表4  全孔径表征孔体积及孔隙比表面积特征

Table 4  Pore volume and specific surface area characteristics from full-pore-range characterization

煤储层全孔径分布联合表征表明,8#煤储层孔隙体积分布呈“L”型,即以超微孔占主导,孔隙体积分布主要集中在0.3~1.5 nm。由表3可知,煤储层总孔隙体积介于0.018~0.048 cm3/g之间,总比表面积介于42~125.35 m2/g,可见不同煤样中孔隙表面积差异较大。其中超微孔对孔隙体积和孔隙比表面积的贡献最大,微孔体积介于0.015~0.042 cm3/g,比表面积介于42.05~113.73 m2/g。其孔隙体积占比均超过70%,主要以大于80%为主,而比表面积占比甚至达到95%以上。其次为超大孔和大孔的贡献较大,超大孔孔隙体积占比介于4.11%~9.55%。其孔隙体积介于0.00033~0.0024 cm3/g,比表面积介于0.22~1.96 m2/g。大孔的孔隙体积占比低于超大孔,平均约5.16%。其孔隙体积介于0.0009~0.0027 cm3/g之间,比表面积介于0.0126~0.038 m2/g。中孔和微孔对孔隙体积的贡献较小,其体积占比仅为3.11%和2.51%。由表4中孔隙体积和比表面关系可以发现,尽管微孔体积占比在煤样中最小,但其比表面积占比介于0.51%~2.02%之间,对比表面积的贡献只次于超微孔,而超大孔的比表面积占比最低,几乎可以忽略不计。表明微孔以其高比表面的特征,在孔隙体积占比较小的情况下能为甲烷分子提供较大的吸附空间。

3.5 煤储层含气性特征

现场解吸实验表明,大牛地气田太原组8#煤储层实测含气量介于10.44~36.28 m3/t,平均为24.53 m3/t(表5),表现出较高的含气性特征。通过开展高温高压等温吸附实验,利用朗格缪尔方程可计算煤样的吸附能力(图6)。结果表明,8#煤储层的兰氏压力介于7.76~21.53 m3/t,均值为16.02 m3/t,兰氏体积介于2.85~4.80 MPa,均值3.71 MPa。8#煤储层吸附能力差异较大,呈现较强非均质性特征。前人研究认为在深部煤储层中可利用甲烷等温吸附实验数据推测游离气含量,其计算公式如下[43-46]:

表5  8#煤储层含气性特征

Table 5  Gas content characteristics of No.8 coal seam

图6  8#煤储层等温吸附曲线及含气量特征

Fig.6  Adsorption isotherm and gas content characteristics of No.8 coal seam

式中,Va为地层温压条件下的饱和吸附量,m3/t;VL为兰氏体积,m3/t;P为煤储层压力,MPa;PL为兰氏压力,MPa;Vf为煤储层中游离气含量,m3/t;Vt为煤样的实测含气量,m3/t;Φf为煤储层中游离气含量占比,%。

计算结果表明,大牛地气田8#煤储层中游离气含量介于0~20.11 m3/t,平均为10.63 m3/t。所测试11个煤样中,游离气占比介于15.24%~61.88%,平均为46.44%,除A-6样品游离气占比较低外,其余样品均超过40%(图6),表明大牛地气田太原组8#煤储层中主体以吸附气为主,部分层段中游离气占比大于吸附气,展示出深部煤层气巨大的开发潜力。而取自煤层下部的A10和A11样品饱和吸附量低于实测含气量,为欠饱和气藏。实验结果表明,大牛地气田8#煤储层具有高含气量,以过饱和气藏为主,高游离气占比的特征,但煤储层内部含气特征差异较大,呈现非均质性特征。

4 讨论

4.1 煤储层孔隙结构非均质性特征

利用不同模型对各实验结果开展不同孔径范围的分形维数计算以表征多尺度非均质特征(图7)。计算结果表明,不同孔径的分形维数均分布在2~3区间(表6),根据分形理论,其符合分形维数理论区间,且分形维数越接近3,其表面粗糙度和孔隙结构越复杂。超微孔(<2 nm)分形维数D1介于2.36~2.41,变化范围较小,微孔(2~10 nm)分形维数介于2.62~2.98之间,中孔(10~100 nm)介于2.17~2.75,不同深度煤储层差异较大。大孔(100~1000 nm)和超大孔(>1000 nm)分形维数均介于2.95~2.98之间,样品间差异较小,均接近3。对比发现,煤储层中大于100 nm的孔隙分形维数最大,表明其具有强非均质性。其次是微孔和中孔,而超微孔的分形维数均小于2.5,非均质性较弱。不同孔径分形维数分布特征表明,深部煤储层不仅在孔径尺度上具有强烈非均质性特征,其不同孔隙类型的复杂程度也具有显著差异,这对深部煤层气的跨尺度储集具有重要影响。

图7  全孔径分形维数特征

Fig.7  Fractal dimension characteristics of the full pore size

表6  不同孔隙类型分形维数表

Table 6  Fractal dimensions of different pore types

不同类型孔隙的分形维数与其对应的孔隙体积和孔隙比表面积的关系可知(图8),超微孔、微孔及中孔的分形维数均与相应的孔隙体积和比表面积成正相关(图8a,b,c),在孔径小于100 nm的孔隙中,分形维数的增加意味着孔壁表面粗糙程度增加,孔隙结构复杂程度增强,导致吸附面积和可容纳孔隙体积同步增加,这类孔隙多由煤的基质有机质在成煤过程中的热演化或矿物脱水作用形成,且是煤层气的主要储存空间,其中超微孔对甲烷吸附尤为重要,因此分形维数高的煤样通常表现出更高的吸附容量和储气潜力。而大孔与超大孔的分形维数则与孔隙体积统计及和比表面积呈负相关(图8d,e),分形维数增加并不一定反映孔容的增加,而可能意味着孔道弯曲、分叉程度加大,从而降低了连通性与有效容积。这类大孔主要由构造应力、割理发育及后期溶蚀作用形成,在分形维数较高时,复杂孔壁形态可能增加流体渗流阻力,甚至造成部分孔隙封闭,使有效比表面积和可利用孔容下降。

图8  不同孔径分形维数与孔隙体积和比表面积关系

Fig.8  Relationship between fractal dimensions of different pore sizes and pore volume and specific surface area

4.2 孔隙结构非均质性控制因素

图9展示了煤样煤质特征与不同孔隙体积及分形维数之间的相关性结果。整体来看,不同煤质参数对孔隙结构的控制作用存在显著差异,其对孔隙体积大小和分形复杂度的影响机制各不相同。镜质组含量与超微孔和微孔体积呈显著正相关,与总孔体积关系密切,显示其有利于小于10 nm孔隙的发育,进而提升煤的比表面积。惰质组则表现出相反趋势,与微细孔隙体积和总孔体积多呈负相关,而与大孔(100~1000 nm)体积有一定正相关,表明惰质组增加会削弱小于10 nm孔隙孔发育。灰分含量与总孔体积和比表面积均呈负相关,反映了无机矿物的填充与堵塞作用。挥发分总体上促进微孔与超微孔体积的增加,但对中孔及大孔贡献有限。

图9  煤样煤质特征对孔隙发育的影响

Fig.9  The influence of coal samples and coal quality characteristics on pore development

分形维数能够反映孔隙结构的复杂性和不均一性。分析结果显示镜质组对D1、D2影响最为显著,呈正相关,表明其能够增强的小于10 nm孔隙的复杂性与不均一性,有利于形成吸附空间;惰质组与D2和D4多负相关,表明其增加会使微孔和大孔结构趋于均质化,削弱孔隙分形特征;灰分普遍降低各孔径分形维数,进一步说明矿物质的充填作用会降低孔隙网络的复杂性;挥发分则对D1、D2有一定正向作用,表明其增加有助于提升微孔与中孔的复杂程度,而其与大孔与超大孔的分形维数呈负相关。

综上所述,镜质组在促进微孔和超微孔发育、增加比表面积、提升分形复杂性方面作用最为关键,是煤储层储集能力的主导因素;惰质组和灰分均表现为负面作用,其中惰质组削弱了孔隙发育,灰分则通过无机矿物充填降低了孔隙复杂性和有效体积。

4.3 孔隙结构对煤层气赋存状态影响

煤样孔裂隙结构为深部煤层气提供了吸附空间,是影响深部煤储层吸附能力的关键因素。8#煤储层孔隙结构参数及分形维数特征与兰氏体积的关系如图10所示,吸附气量与超微孔,微孔、大孔、超大孔体积以及总孔体积之间呈现显著正相关关系,而与中孔体积呈负相关关系。其中,超微孔体积与煤样吸附能力相关性最为显著(R2=0.82),表明超微孔是深部煤样吸附能力的绝对贡献者。这是由于超微孔具有超高的比表面积,为甲烷提供了大量的吸附点位。而随着大孔和超大孔体积的增加,其比表面积会增大,为甲烷提供更多的吸附点位,使得煤样吸附能力增强。但由于其极低的比表面积使得对甲烷吸附量的贡献有限。

图10  8#煤储层孔隙结构与分形特征对吸附能力的影响

Fig.10  The influence of pore structure and fractal characteristics on the adsorption capacity of No.8 coal seam

兰氏体积与分形维数关系显示,深部煤样吸附能力与微孔分形维数呈现显著正相关,与中孔分形维数呈负相关,而与超微孔、大孔及超大孔的分形维数并无明显相关性。表明尽管微孔体积对吸附能力的影响弱于超微孔,但更复杂的孔隙结构特征会增大其比表面积,从而增加其吸能能力。分析结果发现中孔的存在抑制了深部煤样吸附能力。其可归因于:一是有机质中孔的发育一定程度上降低微孔和超微孔的发育程度,但中孔吸附势相对较低,导致煤样吸附能力的下降[47-48]。二是煤样中矿物质间发育的矿物孔隙是中孔孔隙空间的贡献者,而这些孔隙几乎不吸附甲烷,相反矿物质的大量存在抑制煤样吸附能力[49]。

前人研究表明,深部煤样中宏孔和裂缝中赋存有大量的游离气[45,50]。8#煤储层孔隙结构及表面复杂程度与游离气含量相关性分析显示(图11),超大孔和微孔的体积与游离气量呈较显著正相关,大孔体积呈弱相关关系,而其他孔隙体积与游离气量无显著关系。表明在太原组8#煤中游离气含量主要由微孔和超大孔决定。超微孔和微孔的分形维数越高,即表面复杂程度越高,其游离气含量越高。而大于100 nm的孔隙的分形维数与游离气含量呈负相关。这一现象说明小于10 nm的孔隙表面复杂程度的增加带来的孔隙体积的增加,为游离气的提供了赋存空间。而超微孔在更加复杂结构条件有可能会转换为微孔,促进了游离气的赋存。而大于100 nm的孔隙分形维数的增加导致孔隙体积降低而不利于储集游离气。

图11  8#煤储层孔隙结构与分形特征对游离气量的影响

Fig.11  The influence of pore structure and fractal characteristics on the free gas content in the No.8 coal seam

5 结论

(1)大牛地气田太原组8#煤储层孔隙发育跨越全孔径范围,整体分布呈“L型”,总体积为0.018~0.048 cm³/g、总比表面积为42~125.35 m²/g。超微孔(<2 nm)最为发育,是孔隙体积与比表面积的主要贡献者(体积占比>70%、比表面积占比>95%)。其次为超大孔(>1000 nm)和大孔(100~1000 nm)。而中孔(10~100 nm)和微孔(2~10 nm)发育程度最差,但微孔比表面占比较大。

(2)分形维数计算结果显示,不同孔径范围内孔隙结构复杂程度差异显著,其中>100 nm的大孔和超大孔分形维数接近3,表现出最强非均质性;微孔和中孔分形维数差异较大,非均质性较强。煤质组分对孔隙结构具有重要控制作用,镜质组有利于超微孔和微孔的发育和复杂性增强;惰质组则与其孔隙体积呈负相关,更有利于大孔的形成;灰分含量普遍削弱总孔隙体积和分形复杂度,显示出矿物充填对孔隙网络的破坏作用。

(3)8#煤储层实测含气量为10.44~36.28 m³/t,游离气占比普遍超过40%,以过饱和气藏为主,开发潜力巨大。超微孔和微孔是吸附气的主要赋存空间,微孔的分形复杂度增加能够显著提升吸附容量;中孔对吸附作用有限,与形成中孔的矿物组分有关。游离气含量主要受微孔与超大孔体积控制,分形复杂度升高时,其储集能力增强。

基金

基金项目:国家科技重大专项项目(2025ZD1405901)。

参考文献

[1]鞠玮,陶树,杨兆彪,等.中国深部煤层气研究与勘探开发现状及其发展趋势[J].石油实验地质,2025,47(1):9-16.[百度学术]

[2]吴裕根,门相勇,娄钰.我国“十四五”煤层气勘探开发新进展与前景展望[J].中国石油勘探,2024,29(1):1-13.[百度学术]

[3]赵文智,曹正林,刘运宸,等.中国深层煤岩气成藏特征与发展前景展望[J].中国石油勘探,2025,30(4):27-43.[百度学术]

[4]徐长贵,季洪泉,王存武,等.鄂尔多斯盆地东缘临兴-神府区块深部煤层气富集规律与勘探对策[J].煤田地质与勘探,2024,52(8):1-11.[百度学术]

[5]杨延辉,张鹏豹,刘忠,等.沁水盆地南部深层高阶煤层气成藏特征[J].中国石油勘探,2024,29(5):107-119.[百度学术]

[6]唐志潭,刘敬寿,闫霞,等.深层煤样微构造对现今地应力的控制机理[J].地学前缘,2024,31(5):344-357.[百度学术]

[7]唐淑玲,汤达祯,杨焦生,等.鄂尔多斯盆地大宁—吉县区块深部煤储层孔隙结构特征及储气潜力[J].石油学报,2023,44(11):1854-1866,1902.[百度学术]

[8]陈世达,汤达祯,侯伟,等.深部煤层气地质条件特殊性与储层工程响应[J].石油学报,2023,44(11):1993-2006.[百度学术]

[9]刘大锰,王子豪,陈佳明,等.基于ResNet残差神经网络识别的深部煤层显微组分和微裂缝分类——以鄂尔多斯盆地石炭系本溪组8#煤层为例[J].石油与天然气地质,2024,45(6):1524-1536.[百度学术]

[10]刘大锰,李振涛,蔡益栋.煤储层孔-裂隙非均质性及其地质影响因素研究进展[J].煤炭科学技术,2015,43(2):10-15.[百度学术]

[11]任鹏飞,陈龙,罗文琴,等.宏观煤样类型制约下的深部煤储层孔隙结构及非均质性特征[J].天然气地球科学,2025,36(9):1706-1717.[百度学术]

[12]张晓晴,康玉国,孙斌,等.勃利盆地七台河断陷煤层气富集特征及有利区优选[J].吉林大学学报(地球科学版),2023,53(4):1033-1047.[百度学术]

[13]WU Y N,TAO S,BI C Q,et al.Pore-fracture and permeability heterogeneity of different marcolithotypes of medium-rank coals in Jixi Basin,China[J].Geoenergy Science and Engineering,2023,231:212395.[百度学术]

[14]胡鑫,姚卫江,胡正舟,等.准噶尔盆地白家海地区西山窑组深部煤样储层孔隙结构表征及发育主控因素[J].中国石油大学学报(自然科学版),2024,48(4):12-23.[百度学术]

[15]王梓麟,时婧玥,杨英,等.深层煤样孔隙结构表征及压裂缝导流能力影响因素[J].吉林大学学报(地球科学版),2025,55(4):1061-1076.[百度学术]

[16]徐洲,孔祥伟,谢昕,等.天然裂缝和层理的角度对深煤层水力裂缝扩展的影响[J].断块油气田,2025,32(3):493-501.[百度学术]

[17]王鹏翔,张洲,余婉莹,等.深/浅部煤储层孔裂隙结构及三维空间分布差异特征——以准噶尔盆地为例[J].油气藏评价与开发,2025,15(2):227-236.[百度学术]

[18]闫涛滔,邓志宇,吴鹏,等.鄂尔多斯盆地东缘临兴东区杨家坡区块煤层气井产能特征及主控因素[J].现代地质,2024,38(6):1545-1556.[百度学术]

[19]CAI Y D,LIU D M,PAN Z J,et al.Pore structure and its impact on CH4 adsorption capacity and flow capability of bituminous and subbituminous coals from Northeast China[J].Fuel,2013,103:258-268.[百度学术]

[20]秦勇.中国深部煤层气地质研究进展[J].石油学报,2023,44(11):1791-1811.[百度学术]

[21]陈世达,张泰源,汤达祯,等.深部富游离气煤储层动态供气机理与理论生产模式[J].煤田地质与勘探,2025,53(4):58-73.[百度学术]

[22]郭晓娇,王雷,姚仙洲,等.深部煤样地质特征及煤层气富集主控地质因素——以鄂尔多斯盆地东部M区为例[J].石油实验地质,2025,47(1):17-26.[百度学术]

[23]孙立春,刘佳,李娜,等.鄂尔多斯盆地神府区块深部煤层气井产量主控因素及合理压裂规模优化[J].石油实验地质,2025,47(1):43-53.[百度学术]

[24]LIU D M,YAO Y B,CHANG Y H.Measurement of adsorption phase densities with respect to different pressure:Potential application for determination of free and adsorbed methane in coalbed methane reservoir[J].Chemical Engineering Journal,2022,446:137103.[百度学术]

[25]黄道军,许浩,虎建玲,等.鄂尔多斯盆地深部8号煤储层孔隙发育模式及其控气作用[J].煤炭科学技术,2025,53(3):115-123.[百度学术]

[26]蒋新立,李明忠,宋文宇,等.鄂北大牛地气田深层煤层气钻完井关键技术及应用[J].断块油气田,2025,32(5):863-868[百度学术]

[27]何发岐,雷涛,齐荣,等.鄂尔多斯盆地大牛地气田深部煤层气勘探突破及其关键技术[J].石油与天然气地质,2024,45(6):1567-1576.[百度学术]

[28]李亚辉.鄂尔多斯盆地大牛地气田深层中煤阶煤层气勘探实践及产能新突破[J].石油与天然气地质,2024,45(6):1555-1566.[百度学术]

[29]何发岐,董昭雄.深部煤层气资源开发潜力——以鄂尔多斯盆地大牛地气田为例[J].石油与天然气地质,2022,43(2):277-285.[百度学术]

[30]郭莹莹,倪小明,张海锋,等.基于构造递阶优选的煤层气开发甜点区预测:以沁水盆地为例[J].现代地质,2025,39(6):1611-1621.[百度学术]

[31]高青松.大牛地气田石炭系太原组沉积相类型再分析[J].石油地质与工程,2018,32(6):1-5,11,116.[百度学术]

[32]郑文波,胡向阳,陈舒薇,等.鄂尔多斯盆地大牛地气田上古生界沉积演化特征[J].沉积学报,2015,33(2):306-313.[百度学术]

[33]李胜利,张亚雄,于兴河,等.含煤层系相控型致密气储层非均质性评价的沉积要素与甜点预测策略:以鄂尔多斯盆地为例[J].地学前缘,2025,32(5):389-403.[百度学术]

[34]SING K S W.Reporting physisorption data for gas/solid systems with special reference to the determination of surface area and porosity [J].Pure and Applied Chemistry,1985,57(4):603-619.[百度学术]

[35]KROHN C E.Fractal measurements of sandstones,shales,and carbonates[J].Journal of Geophysical Research:Solid Earth,1988,93(B4):3297-3305.[百度学术]

[36]HAN C C,LI G,DAN S H,et al.Study of Fractal and Multifractal Features of Pore Structure in Tight Sandstone Reservoirs of the Permian Lucaogou Formation,Jimsar Sag,Junggar Basin,Northwest China[J].ACS Omega,2022,7(35):31352-31366.[百度学术]

[37]张驰,关平,张济华,等.分形理论表征非常规油气储层孔隙结构特征研究进展[J].北京大学学报(自然科学版),2023,59(5):897-908.[百度学术]

[38]WANG F M,LI S F.Determination of the Surface Fractal Dimension for Porous Media by Capillary Condensation[J].Industrial & Engineering Chemistry Research,1997,36(5):1598-1602.[百度学术]

[39]ZHANG S H,TANG S H,TANG D Z,et al.Determining fractal dimensions of coal pores by FHH model:Problems and effects[J].Journal of Natural Gas Science and Engineering,2014,21:929-939.[百度学术]

[40]JIANG F J,CHEN D,CHEN J,et al.Fractal Analysis of Shale Pore Structure of Continental Gas Shale Reservoir in the Ordos Basin,NW China[J].Energy & Fuels,2016,30(6):4676-4689.[百度学术]

[41]李振,邵龙义,侯海海,等.高煤阶煤孔隙结构及分形特征[J].现代地质,2017,31(3):595-605.[百度学术]

[42]THOMMES M,KANEKO K,NEIMARK A V,et al.Physisorption of gases,with special reference to the evaluation of surface area and pore size distribution [J/OL].Pure and Applied Chemistry,2015,87(9-10):1051-1069.[百度学术]

[43]邓泽,王红岩,姜振学,等.深部煤储层孔裂隙结构对煤层气赋存的影响——以鄂尔多斯盆地东缘大宁-吉县区块为例[J].煤炭科学技术,2024,52(8):106-123.[百度学术]

[44]高丽军,谢英刚,潘新志,等.临兴深部煤层气含气性及开发地质模式分析[J].煤炭学报,2018,43(6):1634-1640.[百度学术]

[45]孙斌,杨敏芳,杨青,等.准噶尔盆地深部煤层气赋存状态分析[J/OL].煤炭学报,2017,42(S1):195-202.DOI:10.13225/j.cnki.jccs.2016.1687.[百度学术]

[46]唐书恒,郗兆栋,张松航,等.深部煤层气赋存相态与含气性演化[J].煤炭科学技术,2025,53(3):91-100.[百度学术]

[47]许启鲁,黄文辉,唐书恒,等.深部中-高煤级煤储层孔隙结构与吸附性[J].现代地质,2016,30(2):413-419.[百度学术]

[48]包庆林,邓恩德,马子杰,等.黔西煤储层孔隙结构特征与储气性研究:以戴家田煤矿D1井为例[J].现代地质,2024,38(6):1532-1544.[百度学术]

[49]LIU D M,ZHAO Z,CAI Y D,et al.Characterizing coal gas reservoirs:A multiparametric evaluation based on geological and geophysical methods[J].Gondwana Research,2024,133:91-107.[百度学术]

[50]张晨,张松航,唐书恒,等.不同煤阶煤大分子模型构建及对比[J].现代地质,2025,39(3):839-856.[百度学术] 

期刊介绍

《现代地质》

《现代地质》创刊于1987年,双月刊,是由教育部主管、中国地质大学(北京)主办的地球科学领域的综合性学术期刊。荣誉主编为邓军院士,主编为刘大锰教授。期刊秉承“百花开放,百家争鸣”的方针,以地球系统科学为核心框架,聚焦多圈层相互作用与跨学科交叉研究。目前被中国科学引文数据库(CSCD)、北大中文核心、中国科技核心以及SCOPUS数据库等收录。

主编介绍

刘大锰教授

刘大锰,教授,博士生导师,国务院政府特贴获得者,中国地质学会会士,长期从事煤层气地质勘探与开发。主持国家重点研发计划项目、国家自然科学重点基金等20余项。获国家科技进步二等奖1项、省部级科技成果一等奖4项和二等奖3项,北京市教育教学成果一等奖2项和二等奖1项;发表学术论文400余篇,SCI收录210余篇(第一作者/通讯作者100余篇),SCI他引10000余次,入选Elsevier中国高被引学者,斯坦福全球2%顶尖科学家;授权发明专利17件。据“科睿唯安”统计,有10篇ESI 1% 高被引论文。目前兼任《Unconventional Resources》共同主编,《Energy Reports》和《Energy Exploration and Exploitation》副主编。

现代地质GEOSCIENCE

长按识别二维码关注我们

网址:http://www.geoscience.net.cn/

电话:010-82322463

邮箱:xddz@cugb.edu.cn

排版 | 孟源

责任编辑 | 袁茂文

科学编辑 | 董立  戚开静  李龚健  袁茂文

审核 | 董立

最新文章

随机文章

基本 文件 流程 错误 SQL 调试
  1. 请求信息 : 2026-04-29 08:11:40 HTTP/2.0 GET : https://h.460.net.cn/a/477114.html
  2. 运行时间 : 0.132533s [ 吞吐率:7.55req/s ] 内存消耗:4,361.95kb 文件加载:140
  3. 缓存信息 : 0 reads,0 writes
  4. 会话信息 : SESSION_ID=14773c2796b47caf31400bbb3fa65912
  1. /yingpanguazai/ssd/ssd1/www/h.460.net.cn/public/index.php ( 0.79 KB )
  2. /yingpanguazai/ssd/ssd1/www/h.460.net.cn/vendor/autoload.php ( 0.17 KB )
  3. /yingpanguazai/ssd/ssd1/www/h.460.net.cn/vendor/composer/autoload_real.php ( 2.49 KB )
  4. /yingpanguazai/ssd/ssd1/www/h.460.net.cn/vendor/composer/platform_check.php ( 0.90 KB )
  5. /yingpanguazai/ssd/ssd1/www/h.460.net.cn/vendor/composer/ClassLoader.php ( 14.03 KB )
  6. /yingpanguazai/ssd/ssd1/www/h.460.net.cn/vendor/composer/autoload_static.php ( 4.90 KB )
  7. /yingpanguazai/ssd/ssd1/www/h.460.net.cn/vendor/topthink/think-helper/src/helper.php ( 8.34 KB )
  8. /yingpanguazai/ssd/ssd1/www/h.460.net.cn/vendor/topthink/think-validate/src/helper.php ( 2.19 KB )
  9. /yingpanguazai/ssd/ssd1/www/h.460.net.cn/vendor/topthink/think-orm/src/helper.php ( 1.47 KB )
  10. /yingpanguazai/ssd/ssd1/www/h.460.net.cn/vendor/topthink/think-orm/stubs/load_stubs.php ( 0.16 KB )
  11. /yingpanguazai/ssd/ssd1/www/h.460.net.cn/vendor/topthink/framework/src/think/Exception.php ( 1.69 KB )
  12. /yingpanguazai/ssd/ssd1/www/h.460.net.cn/vendor/topthink/think-container/src/Facade.php ( 2.71 KB )
  13. /yingpanguazai/ssd/ssd1/www/h.460.net.cn/vendor/symfony/deprecation-contracts/function.php ( 0.99 KB )
  14. /yingpanguazai/ssd/ssd1/www/h.460.net.cn/vendor/symfony/polyfill-mbstring/bootstrap.php ( 8.26 KB )
  15. /yingpanguazai/ssd/ssd1/www/h.460.net.cn/vendor/symfony/polyfill-mbstring/bootstrap80.php ( 9.78 KB )
  16. /yingpanguazai/ssd/ssd1/www/h.460.net.cn/vendor/symfony/var-dumper/Resources/functions/dump.php ( 1.49 KB )
  17. /yingpanguazai/ssd/ssd1/www/h.460.net.cn/vendor/topthink/think-dumper/src/helper.php ( 0.18 KB )
  18. /yingpanguazai/ssd/ssd1/www/h.460.net.cn/vendor/symfony/var-dumper/VarDumper.php ( 4.30 KB )
  19. /yingpanguazai/ssd/ssd1/www/h.460.net.cn/vendor/topthink/framework/src/think/App.php ( 15.30 KB )
  20. /yingpanguazai/ssd/ssd1/www/h.460.net.cn/vendor/topthink/think-container/src/Container.php ( 15.76 KB )
  21. /yingpanguazai/ssd/ssd1/www/h.460.net.cn/vendor/psr/container/src/ContainerInterface.php ( 1.02 KB )
  22. /yingpanguazai/ssd/ssd1/www/h.460.net.cn/app/provider.php ( 0.19 KB )
  23. /yingpanguazai/ssd/ssd1/www/h.460.net.cn/vendor/topthink/framework/src/think/Http.php ( 6.04 KB )
  24. /yingpanguazai/ssd/ssd1/www/h.460.net.cn/vendor/topthink/think-helper/src/helper/Str.php ( 7.29 KB )
  25. /yingpanguazai/ssd/ssd1/www/h.460.net.cn/vendor/topthink/framework/src/think/Env.php ( 4.68 KB )
  26. /yingpanguazai/ssd/ssd1/www/h.460.net.cn/app/common.php ( 0.03 KB )
  27. /yingpanguazai/ssd/ssd1/www/h.460.net.cn/vendor/topthink/framework/src/helper.php ( 18.78 KB )
  28. /yingpanguazai/ssd/ssd1/www/h.460.net.cn/vendor/topthink/framework/src/think/Config.php ( 5.54 KB )
  29. /yingpanguazai/ssd/ssd1/www/h.460.net.cn/config/app.php ( 0.95 KB )
  30. /yingpanguazai/ssd/ssd1/www/h.460.net.cn/config/cache.php ( 0.78 KB )
  31. /yingpanguazai/ssd/ssd1/www/h.460.net.cn/config/console.php ( 0.23 KB )
  32. /yingpanguazai/ssd/ssd1/www/h.460.net.cn/config/cookie.php ( 0.56 KB )
  33. /yingpanguazai/ssd/ssd1/www/h.460.net.cn/config/database.php ( 2.47 KB )
  34. /yingpanguazai/ssd/ssd1/www/h.460.net.cn/vendor/topthink/framework/src/think/facade/Env.php ( 1.67 KB )
  35. /yingpanguazai/ssd/ssd1/www/h.460.net.cn/config/filesystem.php ( 0.61 KB )
  36. /yingpanguazai/ssd/ssd1/www/h.460.net.cn/config/lang.php ( 0.91 KB )
  37. /yingpanguazai/ssd/ssd1/www/h.460.net.cn/config/log.php ( 1.35 KB )
  38. /yingpanguazai/ssd/ssd1/www/h.460.net.cn/config/middleware.php ( 0.19 KB )
  39. /yingpanguazai/ssd/ssd1/www/h.460.net.cn/config/route.php ( 1.89 KB )
  40. /yingpanguazai/ssd/ssd1/www/h.460.net.cn/config/session.php ( 0.57 KB )
  41. /yingpanguazai/ssd/ssd1/www/h.460.net.cn/config/trace.php ( 0.34 KB )
  42. /yingpanguazai/ssd/ssd1/www/h.460.net.cn/config/view.php ( 0.82 KB )
  43. /yingpanguazai/ssd/ssd1/www/h.460.net.cn/app/event.php ( 0.25 KB )
  44. /yingpanguazai/ssd/ssd1/www/h.460.net.cn/vendor/topthink/framework/src/think/Event.php ( 7.67 KB )
  45. /yingpanguazai/ssd/ssd1/www/h.460.net.cn/app/service.php ( 0.13 KB )
  46. /yingpanguazai/ssd/ssd1/www/h.460.net.cn/app/AppService.php ( 0.26 KB )
  47. /yingpanguazai/ssd/ssd1/www/h.460.net.cn/vendor/topthink/framework/src/think/Service.php ( 1.64 KB )
  48. /yingpanguazai/ssd/ssd1/www/h.460.net.cn/vendor/topthink/framework/src/think/Lang.php ( 7.35 KB )
  49. /yingpanguazai/ssd/ssd1/www/h.460.net.cn/vendor/topthink/framework/src/lang/zh-cn.php ( 13.70 KB )
  50. /yingpanguazai/ssd/ssd1/www/h.460.net.cn/vendor/topthink/framework/src/think/initializer/Error.php ( 3.31 KB )
  51. /yingpanguazai/ssd/ssd1/www/h.460.net.cn/vendor/topthink/framework/src/think/initializer/RegisterService.php ( 1.33 KB )
  52. /yingpanguazai/ssd/ssd1/www/h.460.net.cn/vendor/services.php ( 0.14 KB )
  53. /yingpanguazai/ssd/ssd1/www/h.460.net.cn/vendor/topthink/framework/src/think/service/PaginatorService.php ( 1.52 KB )
  54. /yingpanguazai/ssd/ssd1/www/h.460.net.cn/vendor/topthink/framework/src/think/service/ValidateService.php ( 0.99 KB )
  55. /yingpanguazai/ssd/ssd1/www/h.460.net.cn/vendor/topthink/framework/src/think/service/ModelService.php ( 2.04 KB )
  56. /yingpanguazai/ssd/ssd1/www/h.460.net.cn/vendor/topthink/think-trace/src/Service.php ( 0.77 KB )
  57. /yingpanguazai/ssd/ssd1/www/h.460.net.cn/vendor/topthink/framework/src/think/Middleware.php ( 6.72 KB )
  58. /yingpanguazai/ssd/ssd1/www/h.460.net.cn/vendor/topthink/framework/src/think/initializer/BootService.php ( 0.77 KB )
  59. /yingpanguazai/ssd/ssd1/www/h.460.net.cn/vendor/topthink/think-orm/src/Paginator.php ( 11.86 KB )
  60. /yingpanguazai/ssd/ssd1/www/h.460.net.cn/vendor/topthink/think-validate/src/Validate.php ( 63.20 KB )
  61. /yingpanguazai/ssd/ssd1/www/h.460.net.cn/vendor/topthink/think-orm/src/Model.php ( 23.55 KB )
  62. /yingpanguazai/ssd/ssd1/www/h.460.net.cn/vendor/topthink/think-orm/src/model/concern/Attribute.php ( 21.05 KB )
  63. /yingpanguazai/ssd/ssd1/www/h.460.net.cn/vendor/topthink/think-orm/src/model/concern/AutoWriteData.php ( 4.21 KB )
  64. /yingpanguazai/ssd/ssd1/www/h.460.net.cn/vendor/topthink/think-orm/src/model/concern/Conversion.php ( 6.44 KB )
  65. /yingpanguazai/ssd/ssd1/www/h.460.net.cn/vendor/topthink/think-orm/src/model/concern/DbConnect.php ( 5.16 KB )
  66. /yingpanguazai/ssd/ssd1/www/h.460.net.cn/vendor/topthink/think-orm/src/model/concern/ModelEvent.php ( 2.33 KB )
  67. /yingpanguazai/ssd/ssd1/www/h.460.net.cn/vendor/topthink/think-orm/src/model/concern/RelationShip.php ( 28.29 KB )
  68. /yingpanguazai/ssd/ssd1/www/h.460.net.cn/vendor/topthink/think-helper/src/contract/Arrayable.php ( 0.09 KB )
  69. /yingpanguazai/ssd/ssd1/www/h.460.net.cn/vendor/topthink/think-helper/src/contract/Jsonable.php ( 0.13 KB )
  70. /yingpanguazai/ssd/ssd1/www/h.460.net.cn/vendor/topthink/think-orm/src/model/contract/Modelable.php ( 0.09 KB )
  71. /yingpanguazai/ssd/ssd1/www/h.460.net.cn/vendor/topthink/framework/src/think/Db.php ( 2.88 KB )
  72. /yingpanguazai/ssd/ssd1/www/h.460.net.cn/vendor/topthink/think-orm/src/DbManager.php ( 8.52 KB )
  73. /yingpanguazai/ssd/ssd1/www/h.460.net.cn/vendor/topthink/framework/src/think/Log.php ( 6.28 KB )
  74. /yingpanguazai/ssd/ssd1/www/h.460.net.cn/vendor/topthink/framework/src/think/Manager.php ( 3.92 KB )
  75. /yingpanguazai/ssd/ssd1/www/h.460.net.cn/vendor/psr/log/src/LoggerTrait.php ( 2.69 KB )
  76. /yingpanguazai/ssd/ssd1/www/h.460.net.cn/vendor/psr/log/src/LoggerInterface.php ( 2.71 KB )
  77. /yingpanguazai/ssd/ssd1/www/h.460.net.cn/vendor/topthink/framework/src/think/Cache.php ( 4.92 KB )
  78. /yingpanguazai/ssd/ssd1/www/h.460.net.cn/vendor/psr/simple-cache/src/CacheInterface.php ( 4.71 KB )
  79. /yingpanguazai/ssd/ssd1/www/h.460.net.cn/vendor/topthink/think-helper/src/helper/Arr.php ( 16.63 KB )
  80. /yingpanguazai/ssd/ssd1/www/h.460.net.cn/vendor/topthink/framework/src/think/cache/driver/File.php ( 7.84 KB )
  81. /yingpanguazai/ssd/ssd1/www/h.460.net.cn/vendor/topthink/framework/src/think/cache/Driver.php ( 9.03 KB )
  82. /yingpanguazai/ssd/ssd1/www/h.460.net.cn/vendor/topthink/framework/src/think/contract/CacheHandlerInterface.php ( 1.99 KB )
  83. /yingpanguazai/ssd/ssd1/www/h.460.net.cn/app/Request.php ( 0.09 KB )
  84. /yingpanguazai/ssd/ssd1/www/h.460.net.cn/vendor/topthink/framework/src/think/Request.php ( 55.78 KB )
  85. /yingpanguazai/ssd/ssd1/www/h.460.net.cn/app/middleware.php ( 0.25 KB )
  86. /yingpanguazai/ssd/ssd1/www/h.460.net.cn/vendor/topthink/framework/src/think/Pipeline.php ( 2.61 KB )
  87. /yingpanguazai/ssd/ssd1/www/h.460.net.cn/vendor/topthink/think-trace/src/TraceDebug.php ( 3.40 KB )
  88. /yingpanguazai/ssd/ssd1/www/h.460.net.cn/vendor/topthink/framework/src/think/middleware/SessionInit.php ( 1.94 KB )
  89. /yingpanguazai/ssd/ssd1/www/h.460.net.cn/vendor/topthink/framework/src/think/Session.php ( 1.80 KB )
  90. /yingpanguazai/ssd/ssd1/www/h.460.net.cn/vendor/topthink/framework/src/think/session/driver/File.php ( 6.27 KB )
  91. /yingpanguazai/ssd/ssd1/www/h.460.net.cn/vendor/topthink/framework/src/think/contract/SessionHandlerInterface.php ( 0.87 KB )
  92. /yingpanguazai/ssd/ssd1/www/h.460.net.cn/vendor/topthink/framework/src/think/session/Store.php ( 7.12 KB )
  93. /yingpanguazai/ssd/ssd1/www/h.460.net.cn/vendor/topthink/framework/src/think/Route.php ( 23.73 KB )
  94. /yingpanguazai/ssd/ssd1/www/h.460.net.cn/vendor/topthink/framework/src/think/route/RuleName.php ( 5.75 KB )
  95. /yingpanguazai/ssd/ssd1/www/h.460.net.cn/vendor/topthink/framework/src/think/route/Domain.php ( 2.53 KB )
  96. /yingpanguazai/ssd/ssd1/www/h.460.net.cn/vendor/topthink/framework/src/think/route/RuleGroup.php ( 22.43 KB )
  97. /yingpanguazai/ssd/ssd1/www/h.460.net.cn/vendor/topthink/framework/src/think/route/Rule.php ( 26.95 KB )
  98. /yingpanguazai/ssd/ssd1/www/h.460.net.cn/vendor/topthink/framework/src/think/route/RuleItem.php ( 9.78 KB )
  99. /yingpanguazai/ssd/ssd1/www/h.460.net.cn/route/app.php ( 1.72 KB )
  100. /yingpanguazai/ssd/ssd1/www/h.460.net.cn/vendor/topthink/framework/src/think/facade/Route.php ( 4.70 KB )
  101. /yingpanguazai/ssd/ssd1/www/h.460.net.cn/vendor/topthink/framework/src/think/route/dispatch/Controller.php ( 4.74 KB )
  102. /yingpanguazai/ssd/ssd1/www/h.460.net.cn/vendor/topthink/framework/src/think/route/Dispatch.php ( 10.44 KB )
  103. /yingpanguazai/ssd/ssd1/www/h.460.net.cn/app/controller/Index.php ( 4.81 KB )
  104. /yingpanguazai/ssd/ssd1/www/h.460.net.cn/app/BaseController.php ( 2.05 KB )
  105. /yingpanguazai/ssd/ssd1/www/h.460.net.cn/vendor/topthink/think-orm/src/facade/Db.php ( 0.93 KB )
  106. /yingpanguazai/ssd/ssd1/www/h.460.net.cn/vendor/topthink/think-orm/src/db/connector/Mysql.php ( 5.44 KB )
  107. /yingpanguazai/ssd/ssd1/www/h.460.net.cn/vendor/topthink/think-orm/src/db/PDOConnection.php ( 52.47 KB )
  108. /yingpanguazai/ssd/ssd1/www/h.460.net.cn/vendor/topthink/think-orm/src/db/Connection.php ( 8.39 KB )
  109. /yingpanguazai/ssd/ssd1/www/h.460.net.cn/vendor/topthink/think-orm/src/db/ConnectionInterface.php ( 4.57 KB )
  110. /yingpanguazai/ssd/ssd1/www/h.460.net.cn/vendor/topthink/think-orm/src/db/builder/Mysql.php ( 16.58 KB )
  111. /yingpanguazai/ssd/ssd1/www/h.460.net.cn/vendor/topthink/think-orm/src/db/Builder.php ( 24.06 KB )
  112. /yingpanguazai/ssd/ssd1/www/h.460.net.cn/vendor/topthink/think-orm/src/db/BaseBuilder.php ( 27.50 KB )
  113. /yingpanguazai/ssd/ssd1/www/h.460.net.cn/vendor/topthink/think-orm/src/db/Query.php ( 15.71 KB )
  114. /yingpanguazai/ssd/ssd1/www/h.460.net.cn/vendor/topthink/think-orm/src/db/BaseQuery.php ( 45.13 KB )
  115. /yingpanguazai/ssd/ssd1/www/h.460.net.cn/vendor/topthink/think-orm/src/db/concern/TimeFieldQuery.php ( 7.43 KB )
  116. /yingpanguazai/ssd/ssd1/www/h.460.net.cn/vendor/topthink/think-orm/src/db/concern/AggregateQuery.php ( 3.26 KB )
  117. /yingpanguazai/ssd/ssd1/www/h.460.net.cn/vendor/topthink/think-orm/src/db/concern/ModelRelationQuery.php ( 20.07 KB )
  118. /yingpanguazai/ssd/ssd1/www/h.460.net.cn/vendor/topthink/think-orm/src/db/concern/ParamsBind.php ( 3.66 KB )
  119. /yingpanguazai/ssd/ssd1/www/h.460.net.cn/vendor/topthink/think-orm/src/db/concern/ResultOperation.php ( 7.01 KB )
  120. /yingpanguazai/ssd/ssd1/www/h.460.net.cn/vendor/topthink/think-orm/src/db/concern/WhereQuery.php ( 19.37 KB )
  121. /yingpanguazai/ssd/ssd1/www/h.460.net.cn/vendor/topthink/think-orm/src/db/concern/JoinAndViewQuery.php ( 7.11 KB )
  122. /yingpanguazai/ssd/ssd1/www/h.460.net.cn/vendor/topthink/think-orm/src/db/concern/TableFieldInfo.php ( 2.63 KB )
  123. /yingpanguazai/ssd/ssd1/www/h.460.net.cn/vendor/topthink/think-orm/src/db/concern/Transaction.php ( 2.77 KB )
  124. /yingpanguazai/ssd/ssd1/www/h.460.net.cn/vendor/topthink/framework/src/think/log/driver/File.php ( 5.96 KB )
  125. /yingpanguazai/ssd/ssd1/www/h.460.net.cn/vendor/topthink/framework/src/think/contract/LogHandlerInterface.php ( 0.86 KB )
  126. /yingpanguazai/ssd/ssd1/www/h.460.net.cn/vendor/topthink/framework/src/think/log/Channel.php ( 3.89 KB )
  127. /yingpanguazai/ssd/ssd1/www/h.460.net.cn/vendor/topthink/framework/src/think/event/LogRecord.php ( 1.02 KB )
  128. /yingpanguazai/ssd/ssd1/www/h.460.net.cn/vendor/topthink/think-helper/src/Collection.php ( 16.47 KB )
  129. /yingpanguazai/ssd/ssd1/www/h.460.net.cn/vendor/topthink/framework/src/think/facade/View.php ( 1.70 KB )
  130. /yingpanguazai/ssd/ssd1/www/h.460.net.cn/vendor/topthink/framework/src/think/View.php ( 4.39 KB )
  131. /yingpanguazai/ssd/ssd1/www/h.460.net.cn/vendor/topthink/framework/src/think/Response.php ( 8.81 KB )
  132. /yingpanguazai/ssd/ssd1/www/h.460.net.cn/vendor/topthink/framework/src/think/response/View.php ( 3.29 KB )
  133. /yingpanguazai/ssd/ssd1/www/h.460.net.cn/vendor/topthink/framework/src/think/Cookie.php ( 6.06 KB )
  134. /yingpanguazai/ssd/ssd1/www/h.460.net.cn/vendor/topthink/think-view/src/Think.php ( 8.38 KB )
  135. /yingpanguazai/ssd/ssd1/www/h.460.net.cn/vendor/topthink/framework/src/think/contract/TemplateHandlerInterface.php ( 1.60 KB )
  136. /yingpanguazai/ssd/ssd1/www/h.460.net.cn/vendor/topthink/think-template/src/Template.php ( 46.61 KB )
  137. /yingpanguazai/ssd/ssd1/www/h.460.net.cn/vendor/topthink/think-template/src/template/driver/File.php ( 2.41 KB )
  138. /yingpanguazai/ssd/ssd1/www/h.460.net.cn/vendor/topthink/think-template/src/template/contract/DriverInterface.php ( 0.86 KB )
  139. /yingpanguazai/ssd/ssd1/www/h.460.net.cn/runtime/temp/dccdcfeff1941d123b17292ae4c6c9a3.php ( 11.98 KB )
  140. /yingpanguazai/ssd/ssd1/www/h.460.net.cn/vendor/topthink/think-trace/src/Html.php ( 4.42 KB )
  1. CONNECT:[ UseTime:0.000385s ] mysql:host=127.0.0.1;port=3306;dbname=h460;charset=utf8mb4
  2. SHOW FULL COLUMNS FROM `fenlei` [ RunTime:0.000622s ]
  3. SELECT * FROM `fenlei` WHERE `fid` = 0 [ RunTime:0.000345s ]
  4. SELECT * FROM `fenlei` WHERE `fid` = 63 [ RunTime:0.001005s ]
  5. SHOW FULL COLUMNS FROM `set` [ RunTime:0.000551s ]
  6. SELECT * FROM `set` [ RunTime:0.000197s ]
  7. SHOW FULL COLUMNS FROM `article` [ RunTime:0.000667s ]
  8. SELECT * FROM `article` WHERE `id` = 477114 LIMIT 1 [ RunTime:0.004088s ]
  9. UPDATE `article` SET `lasttime` = 1777421500 WHERE `id` = 477114 [ RunTime:0.022880s ]
  10. SELECT * FROM `fenlei` WHERE `id` = 64 LIMIT 1 [ RunTime:0.005667s ]
  11. SELECT * FROM `article` WHERE `id` < 477114 ORDER BY `id` DESC LIMIT 1 [ RunTime:0.000675s ]
  12. SELECT * FROM `article` WHERE `id` > 477114 ORDER BY `id` ASC LIMIT 1 [ RunTime:0.003617s ]
  13. SELECT * FROM `article` WHERE `id` < 477114 ORDER BY `id` DESC LIMIT 10 [ RunTime:0.001826s ]
  14. SELECT * FROM `article` WHERE `id` < 477114 ORDER BY `id` DESC LIMIT 10,10 [ RunTime:0.004445s ]
  15. SELECT * FROM `article` WHERE `id` < 477114 ORDER BY `id` DESC LIMIT 20,10 [ RunTime:0.013981s ]
0.134598s