关键词:思想纯粹,稳定情绪,适度锻炼,激发潜能,保持节奏,时刻细心,相信自己
10:真题回顾:1949年-1979年全国高考数学真题及解答
14:数学,为什么你想学好、能学好,但却学不好?(分析非常透彻)
16:教学讲座:尖子生培养的实践与思考(附相关10余篇文章)
17: 高三模拟考,成绩波动不一定是坏事
18:优质水果:2026年1-2月份猕猴桃🥝开始修剪枝条+绑枝+施农家肥















分类汇编 09:计数问题、概率与统计部分赛题汇总:第1-13届全国大学生数学竞赛(非数类)决赛试题及参考解析近19届(2002-2020)中国女子数学奥林匹克试题及解答
第十八届中国东南地区数学奥林匹克高一高二年级(第二天)附近十七年(2004-2020)试题及解析
近三十五届(1986-2019)中国数学奥林匹克试题及解答集锦
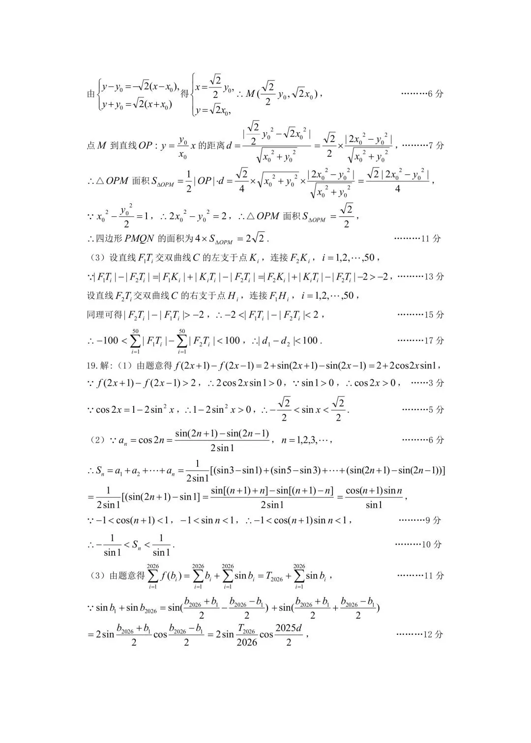
近四十年(1978-2020)全国高中数学联合竞赛A卷试题及详细解答近三十四年(1986- 2019)IMO中国国家集训队选拔考试试题及参考答案集锦近十二年(2008-2020)全国高中数学联合竞赛试题(B卷)参考答案近十九年(2002-2020)全国高中数学联赛(四川预赛)试题及答案集锦