
高报机构必备挂图,最新版本科院校名录、本科专业名录

全国各高校复试分数线、复试名单近期集中公布,本周末首批复试将全面启动,下周起各院校复试将陆续展开;预调剂系统也将于3月28日开放报名。今年过国家线考生约150万,全国研究生总录取计划110万;推免(保研)约30万,统考实际剩余名额仅约80万。这意味着即便过线,仍有约70万考生最终无法录取竞争极为激烈。26年太原理工复试线整体比25年明显上涨,热门专硕涨得最多,学硕普遍小幅上涨。山西大学26年复试线整体大幅上涨,热门专硕/文科自划线专业涨得最猛,多数专业比25年高10–30分。中北大学复试分数线几乎所有专业都高于25年,工学热门专硕涨幅普遍在20–50分。专硕竞争更激烈,涨幅普遍大于同专业学硕。
复试工作即将开始,请考生密切关注高校研究生院网站和各学院网站相关通知,并按要求提前做好复试准备工作。如需专业老师指导复试或调剂上岸,请微信联系。





2026年硕士研究生招生学院联系方式和校区



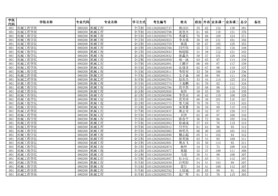
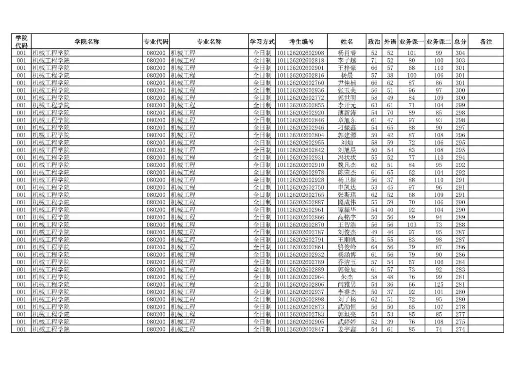
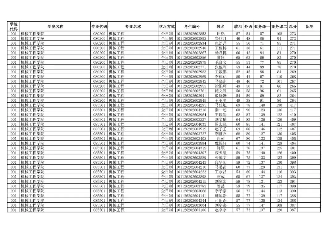
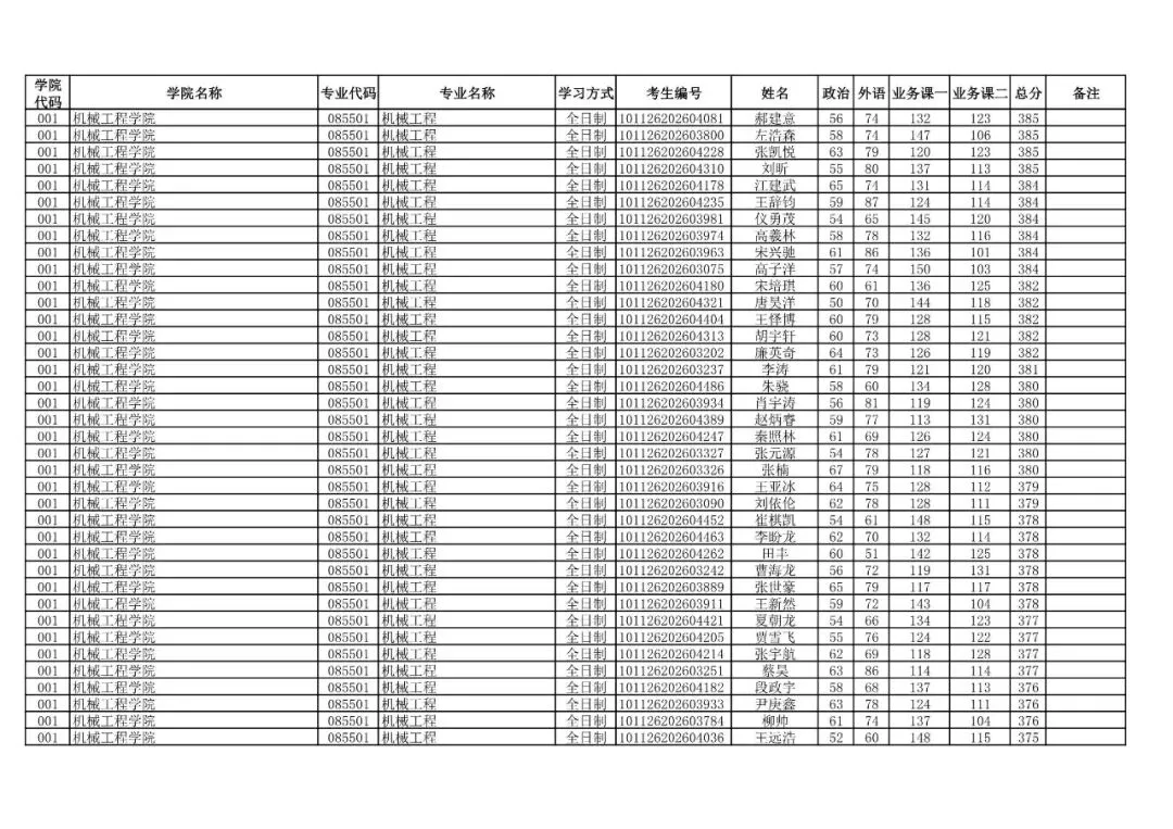
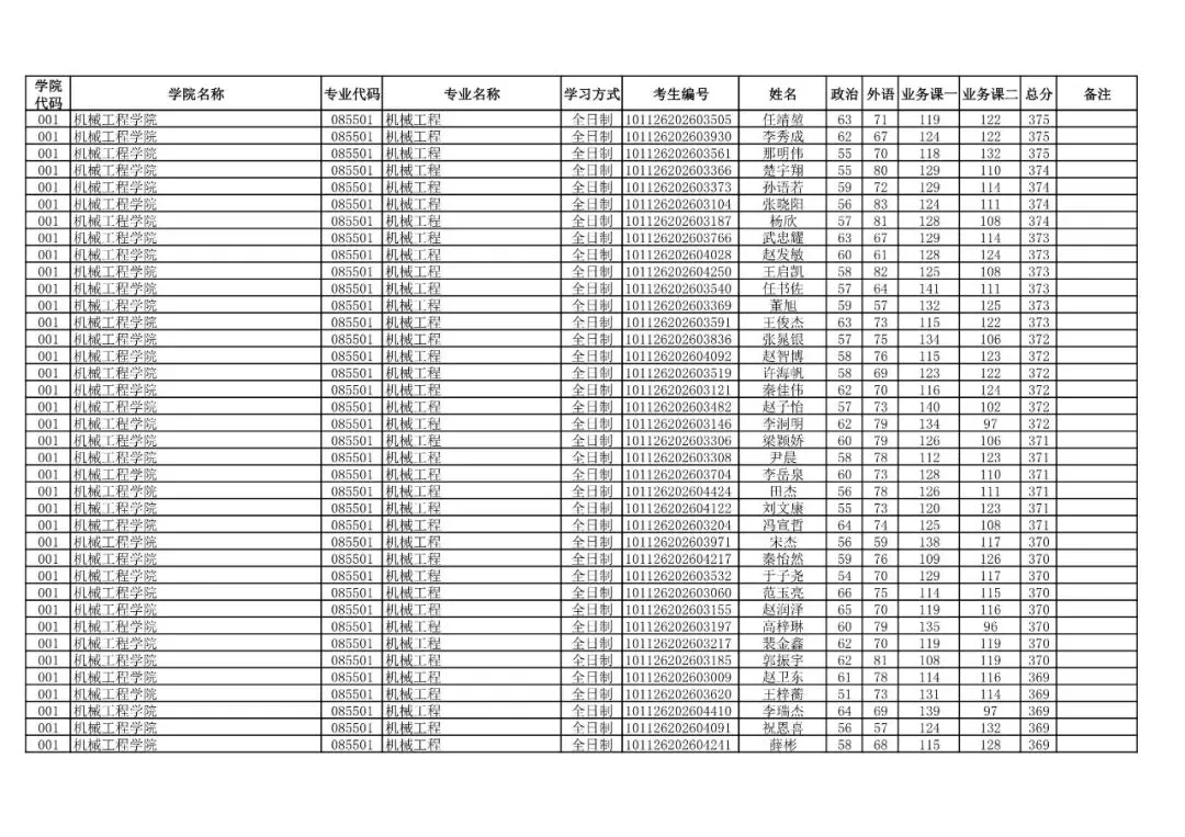
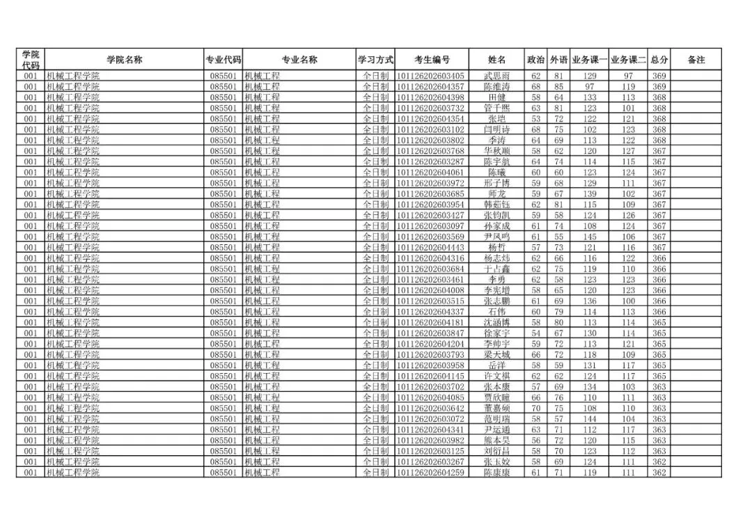
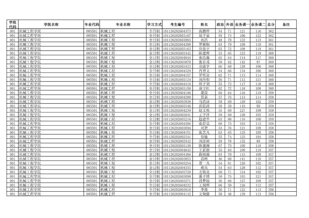
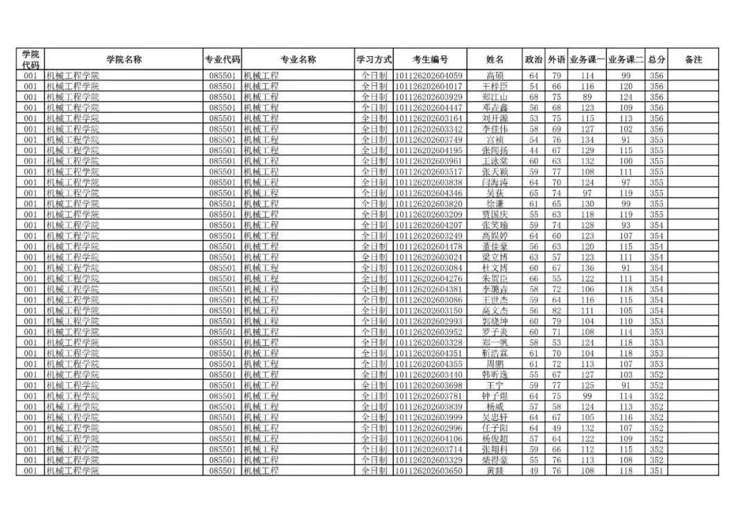
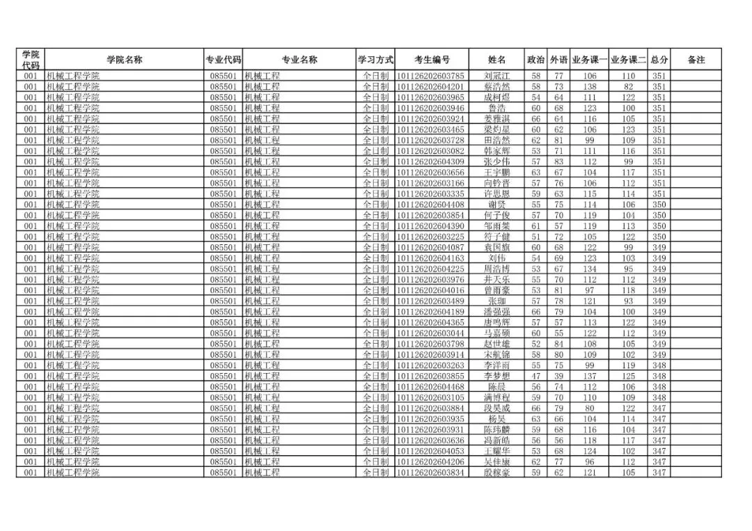
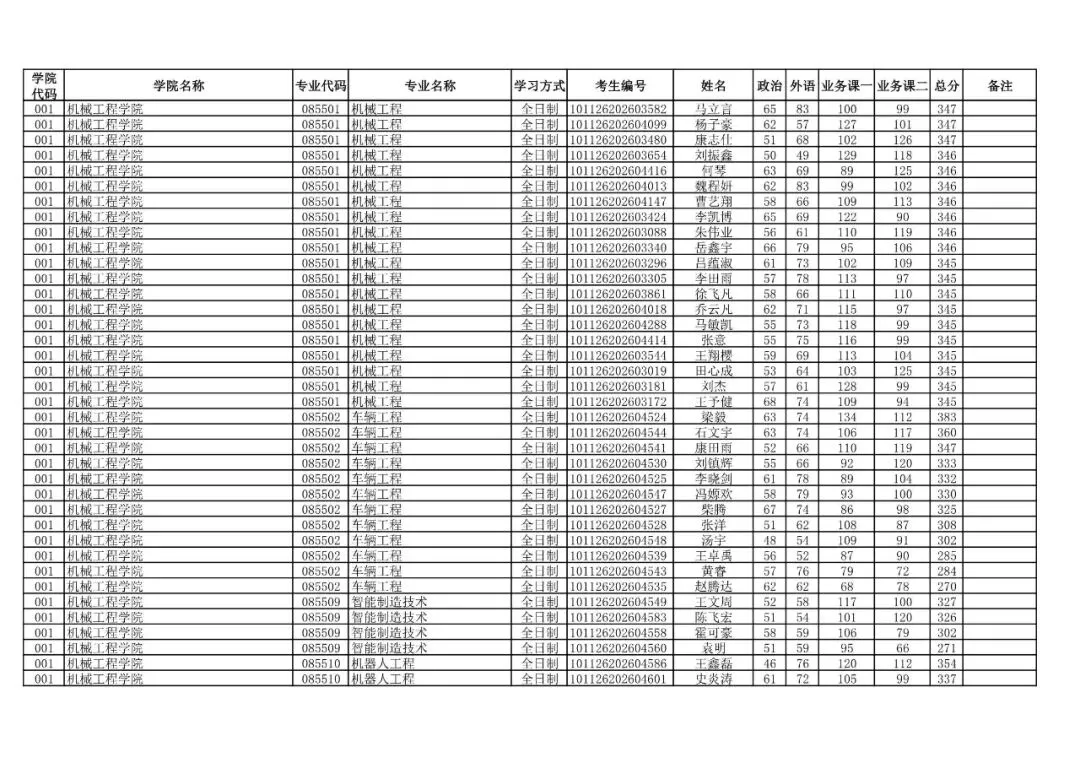
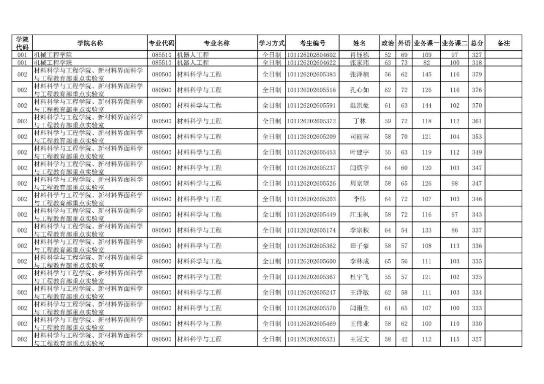
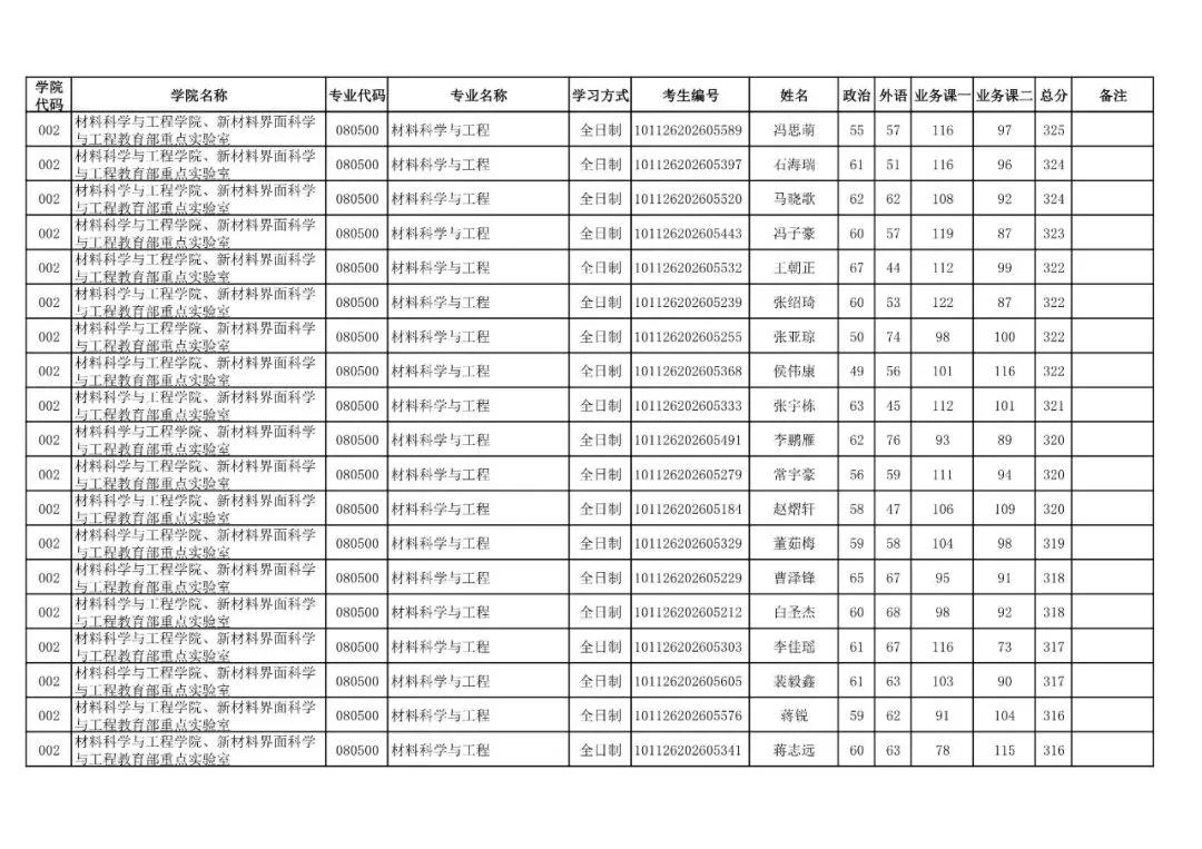
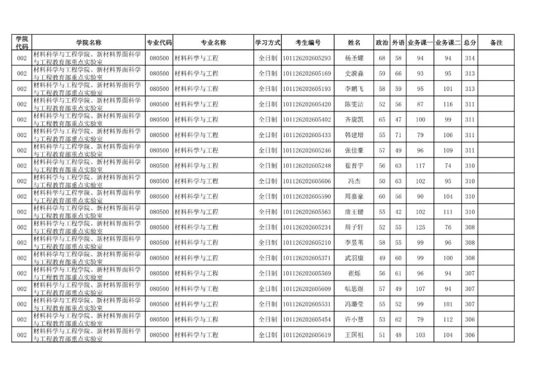
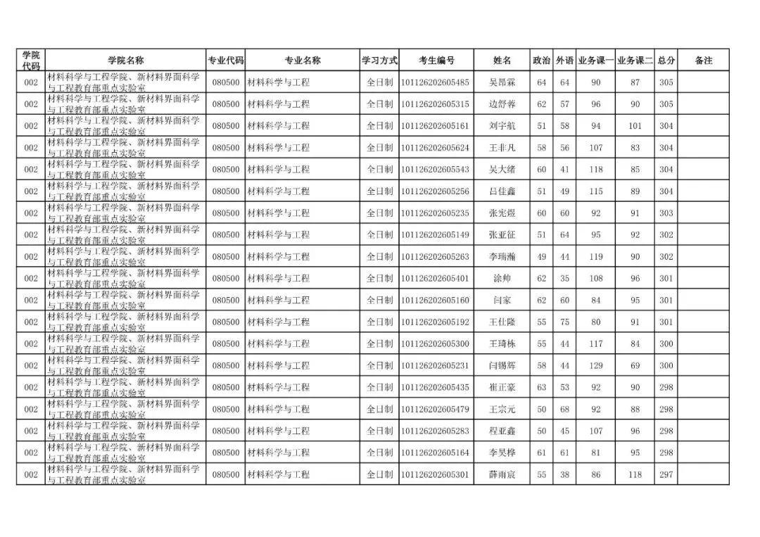
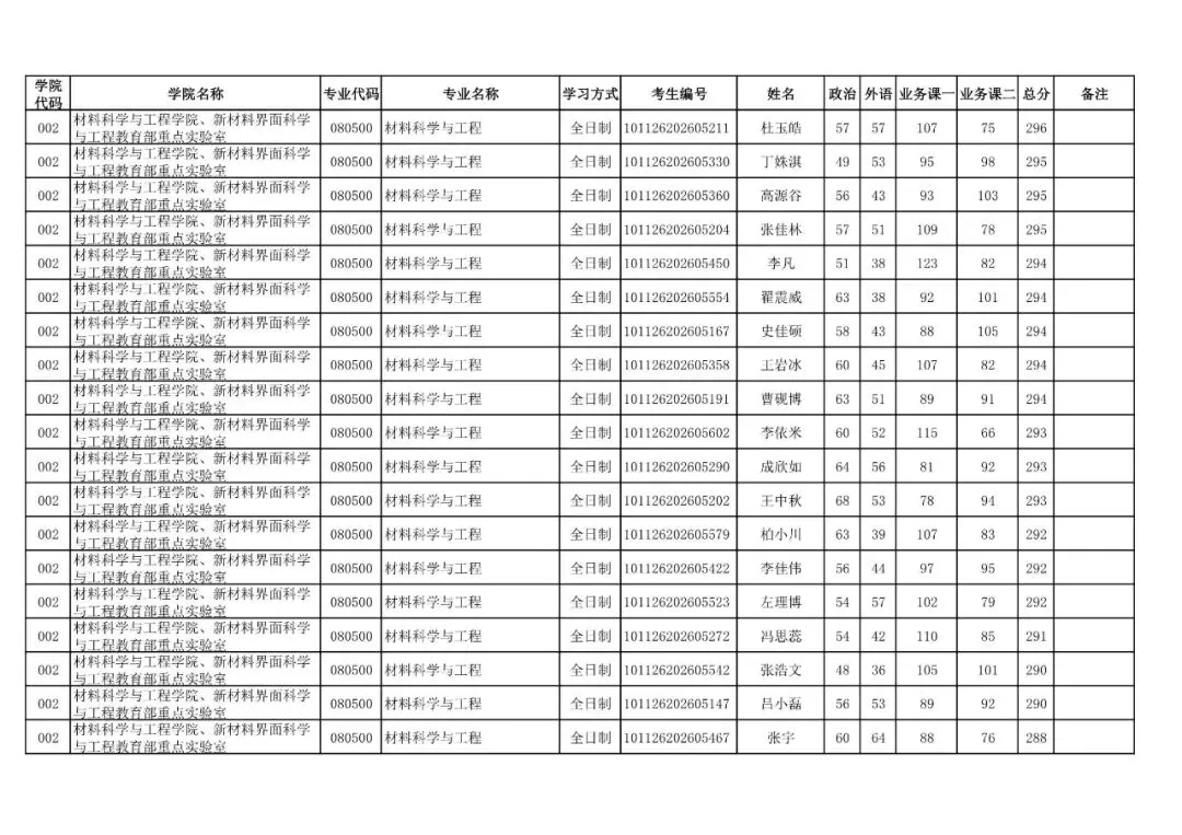
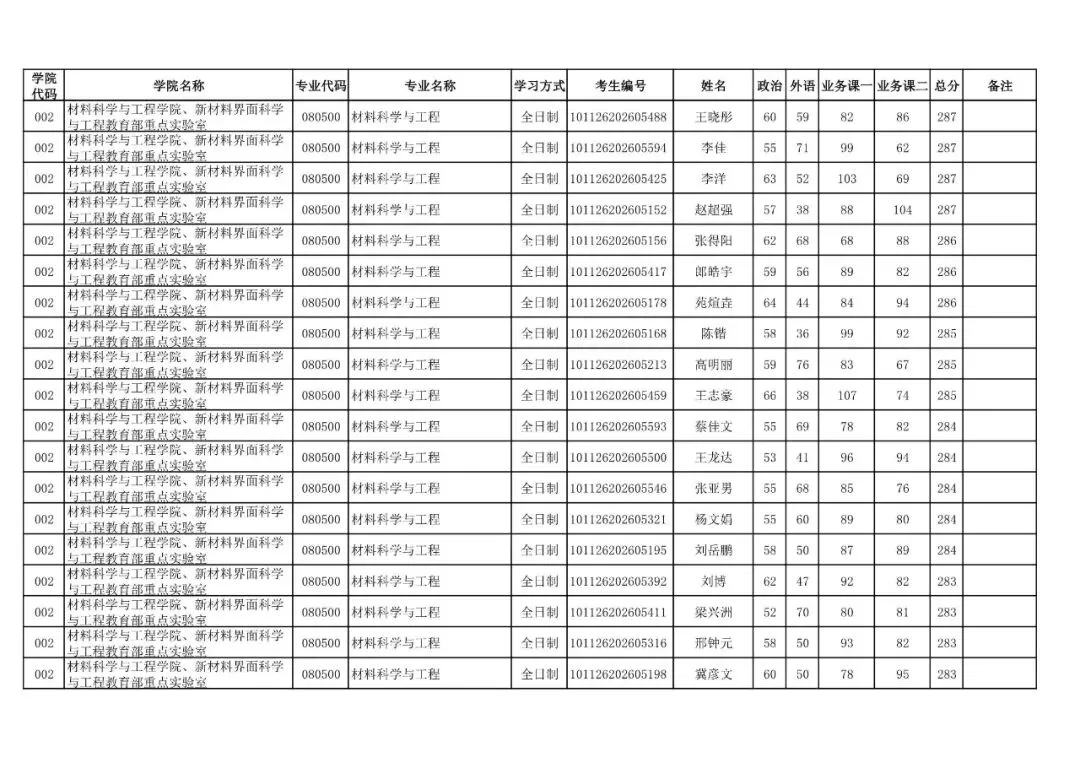
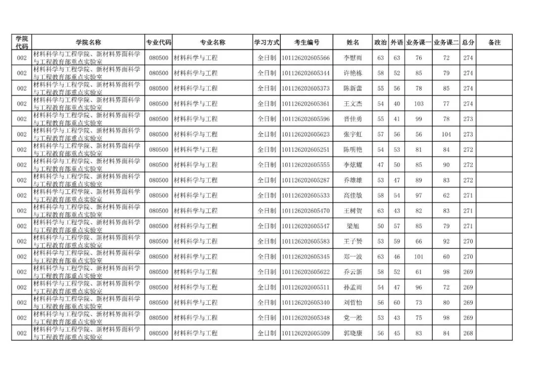
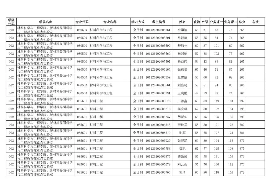
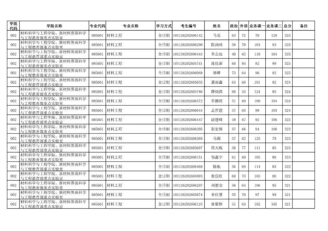
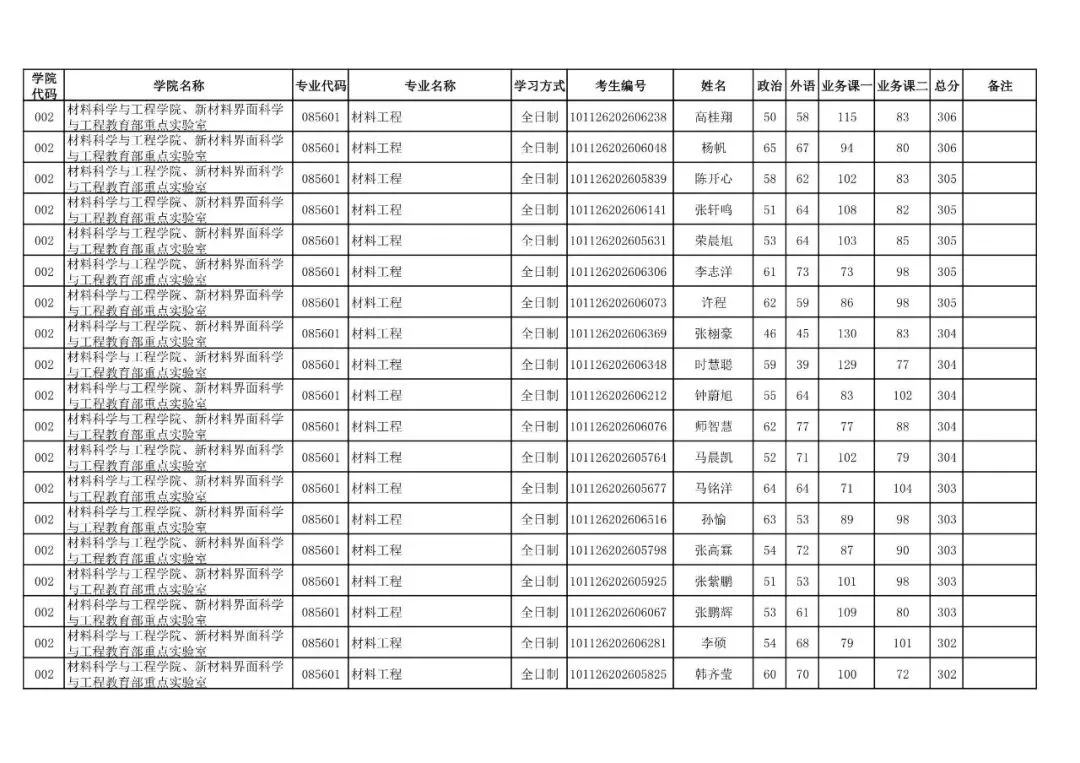
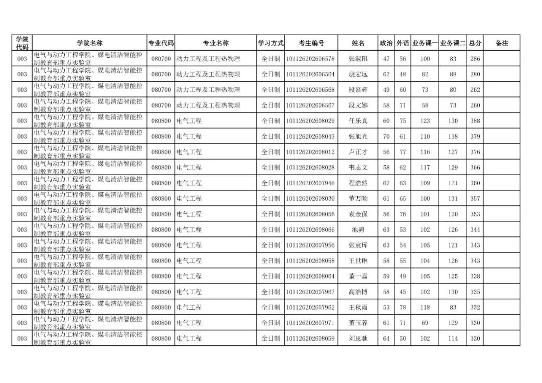
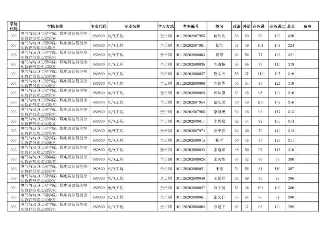
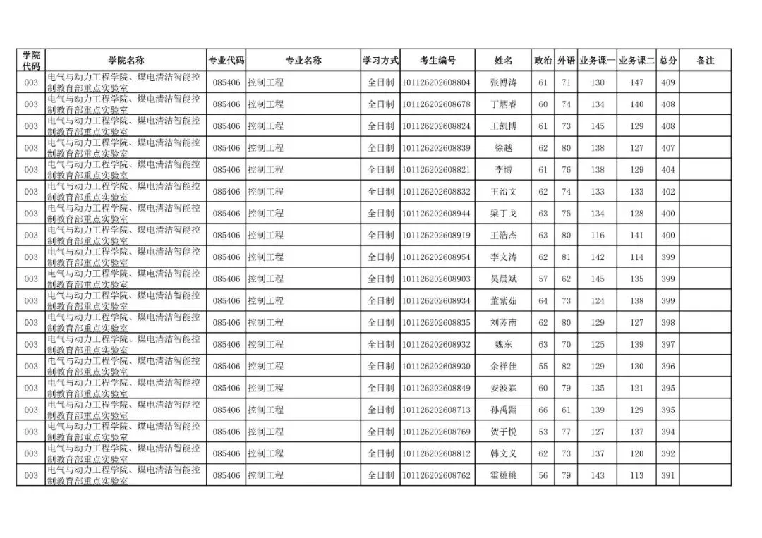
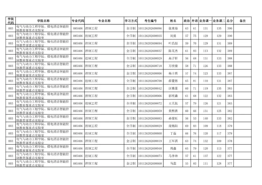
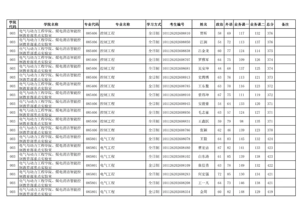
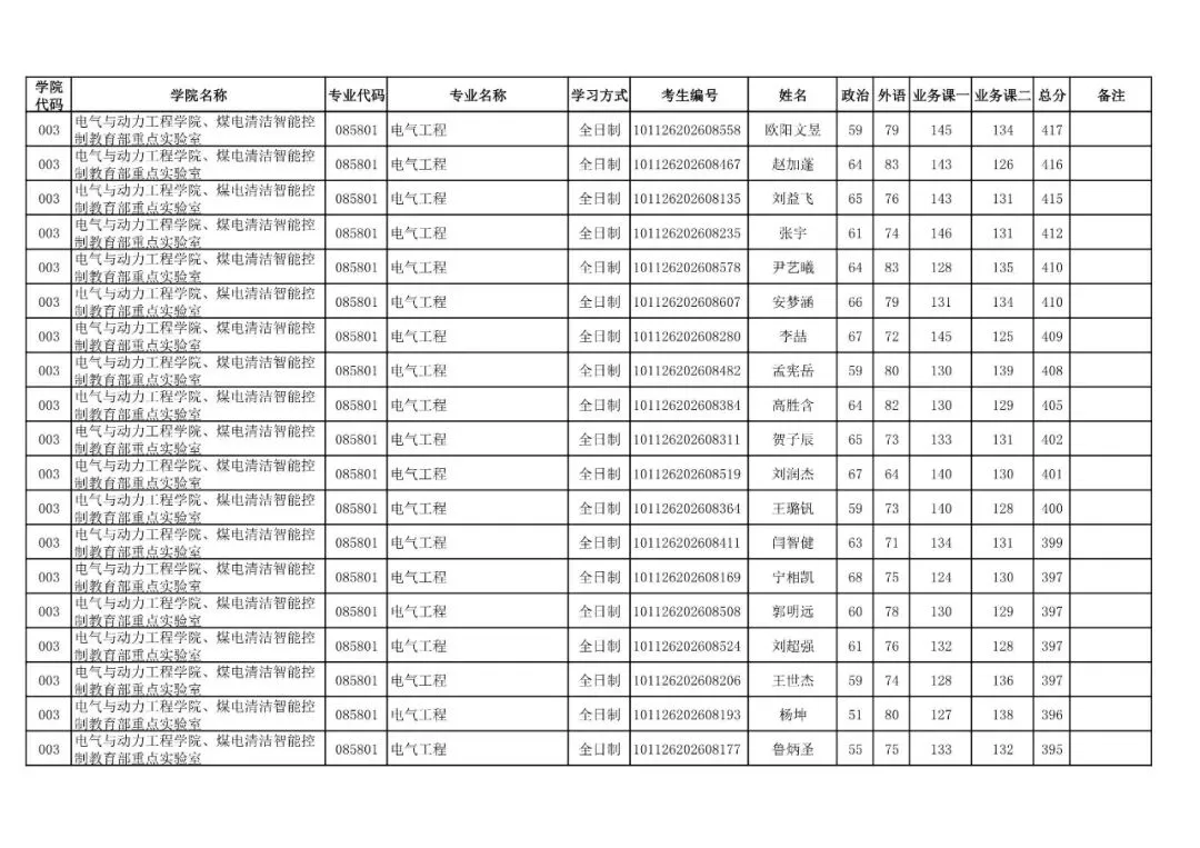
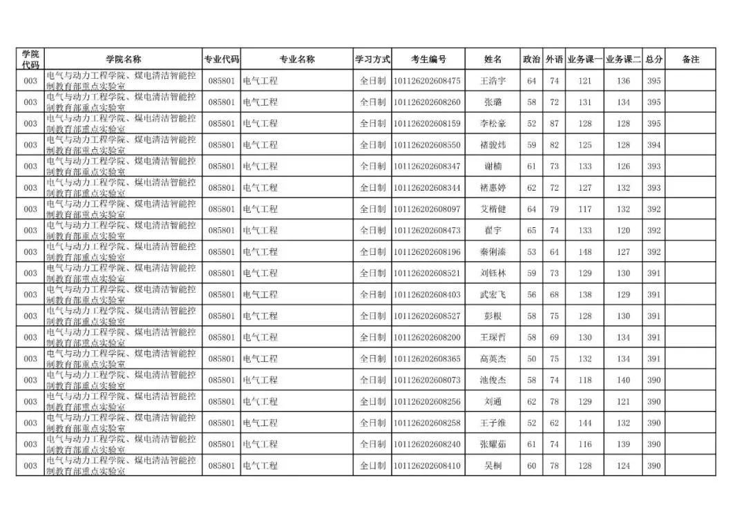
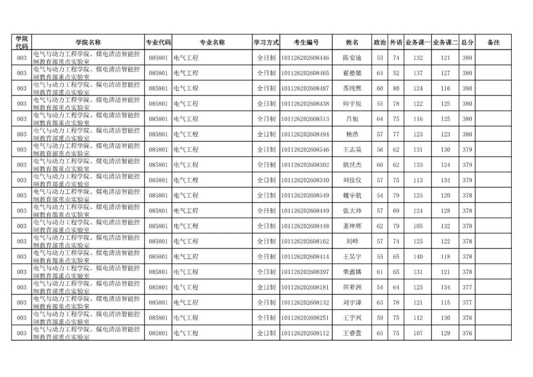
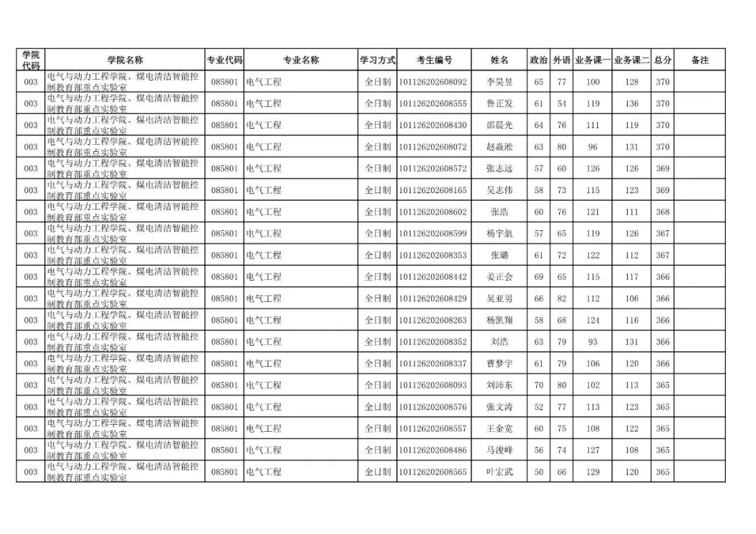
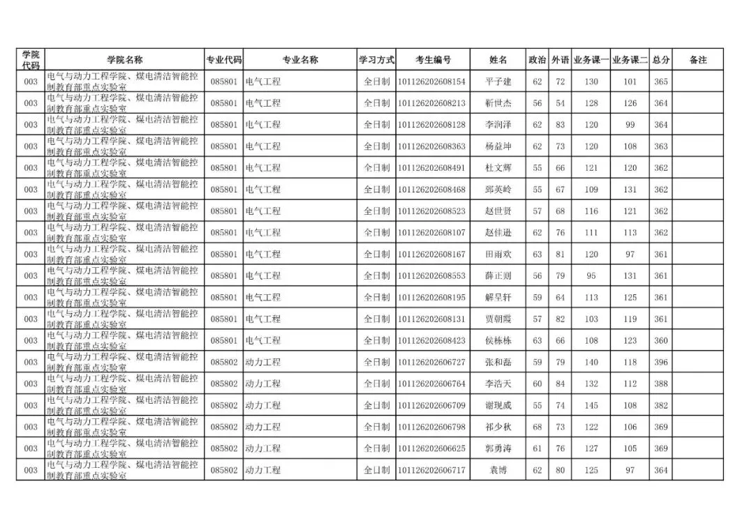
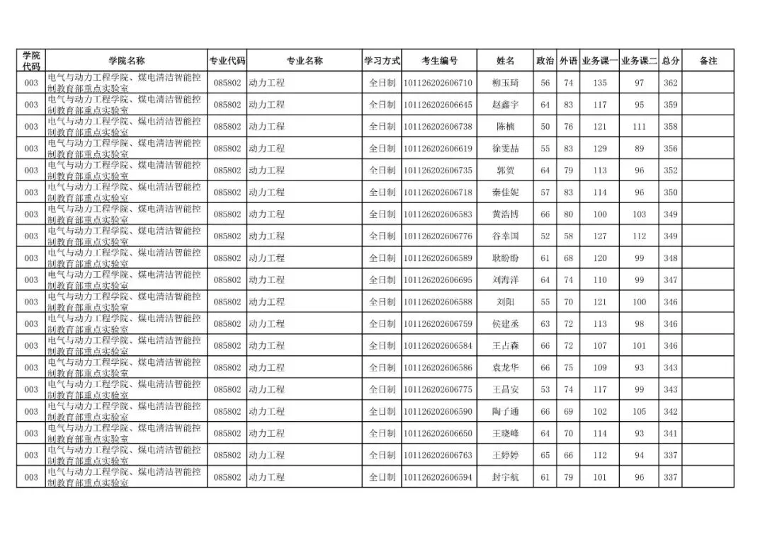
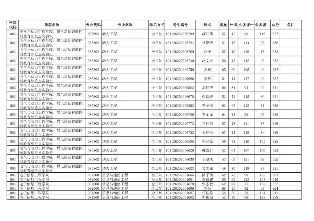
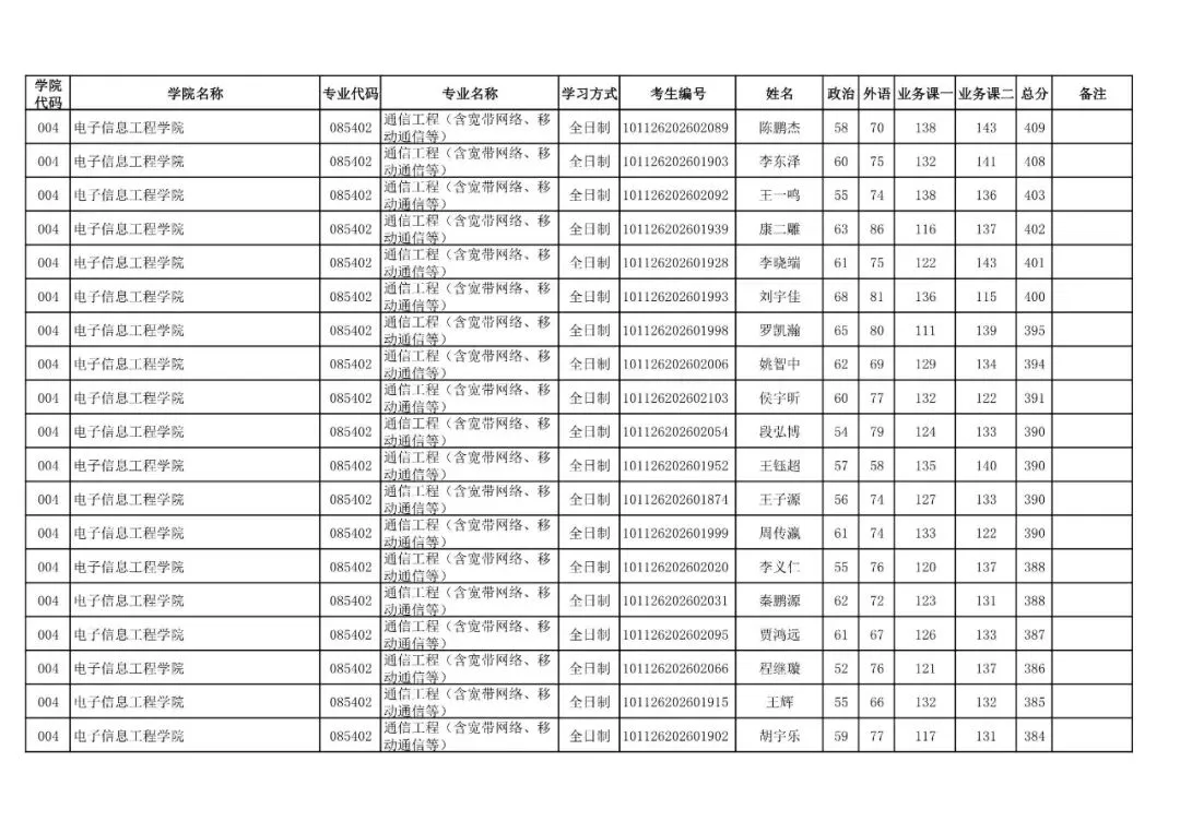
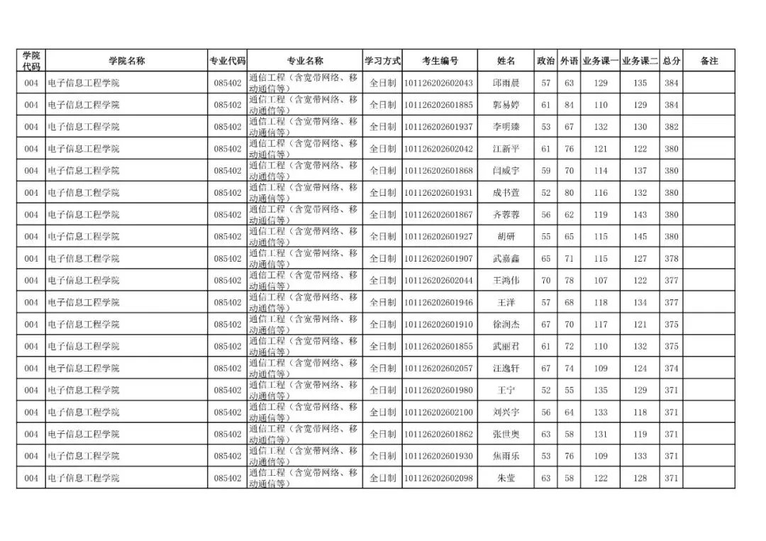
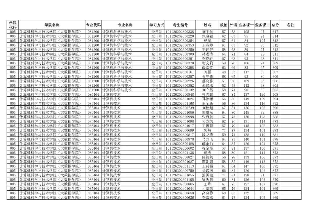
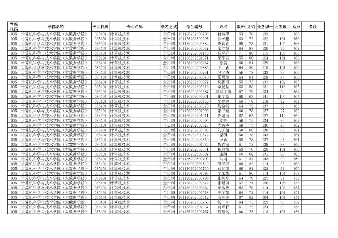
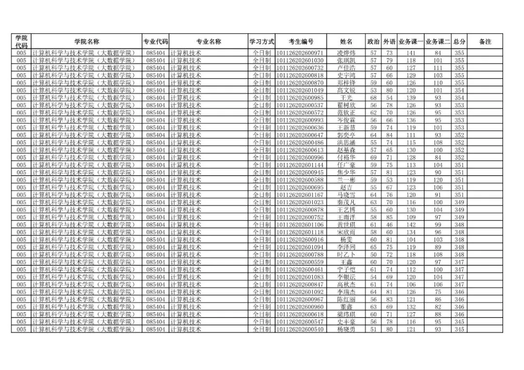
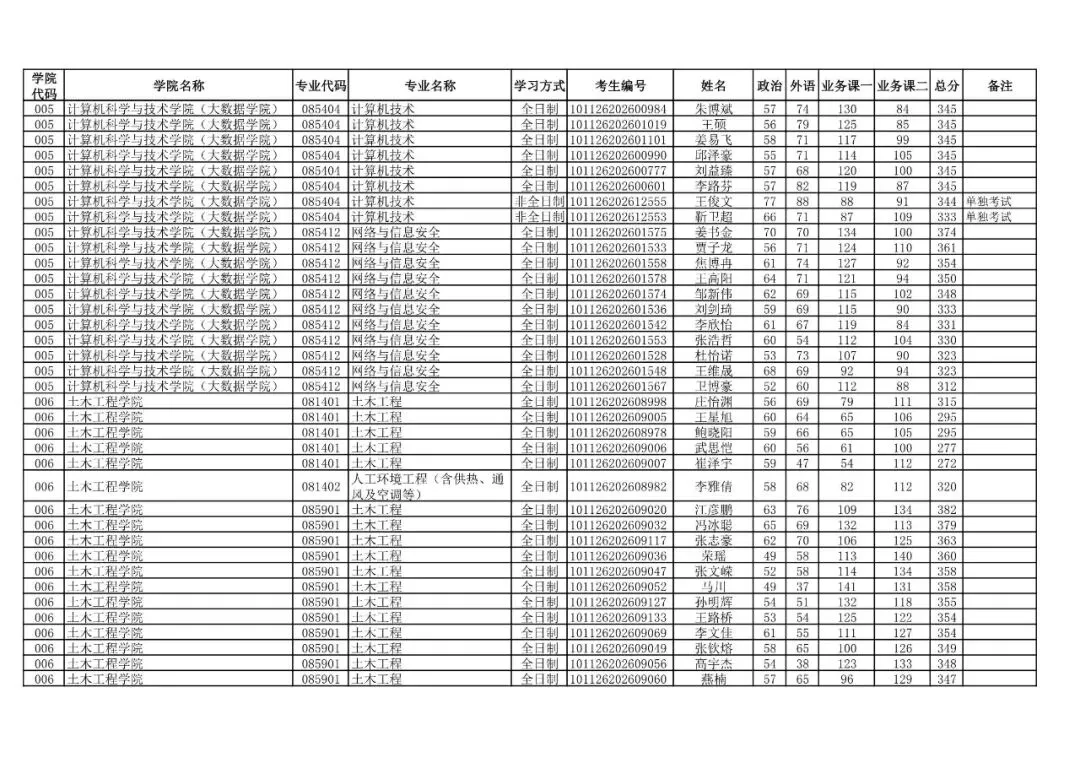
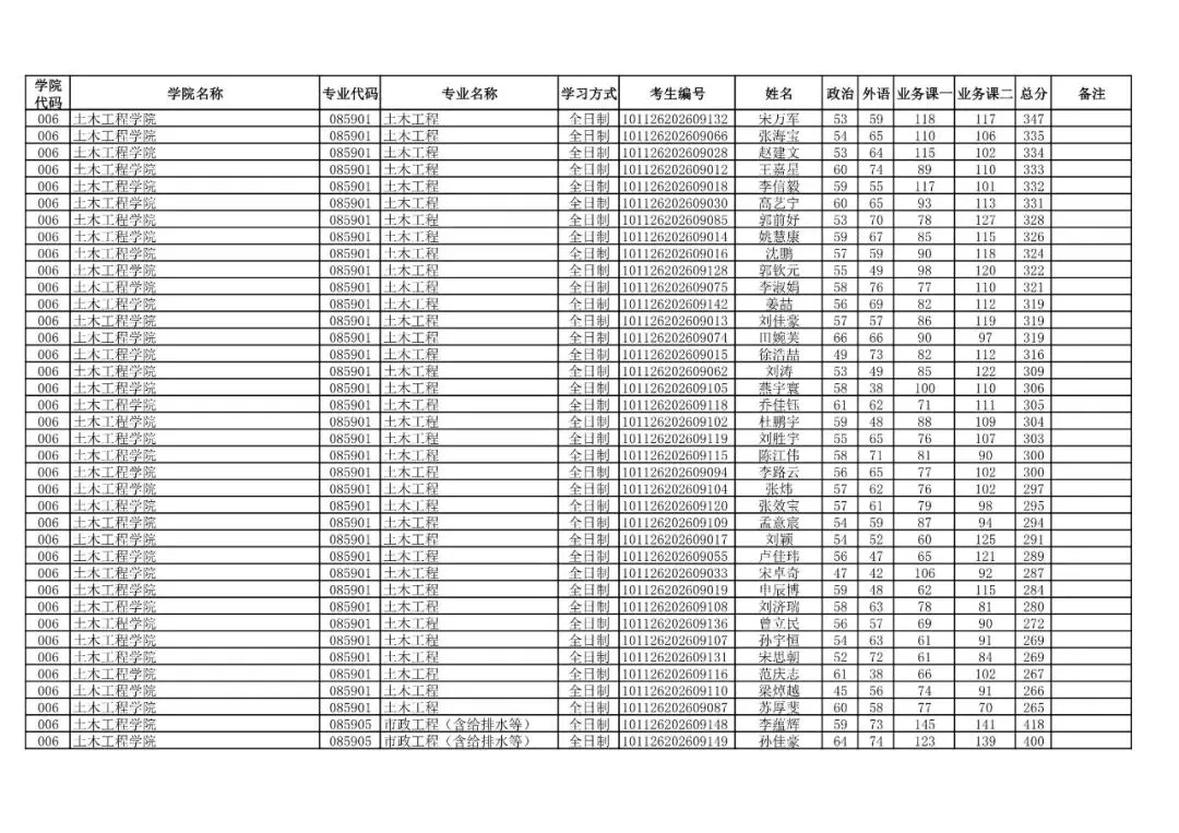
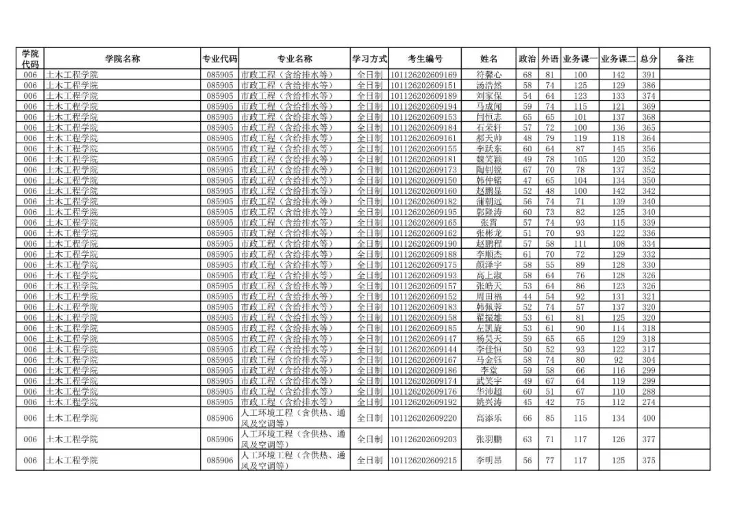
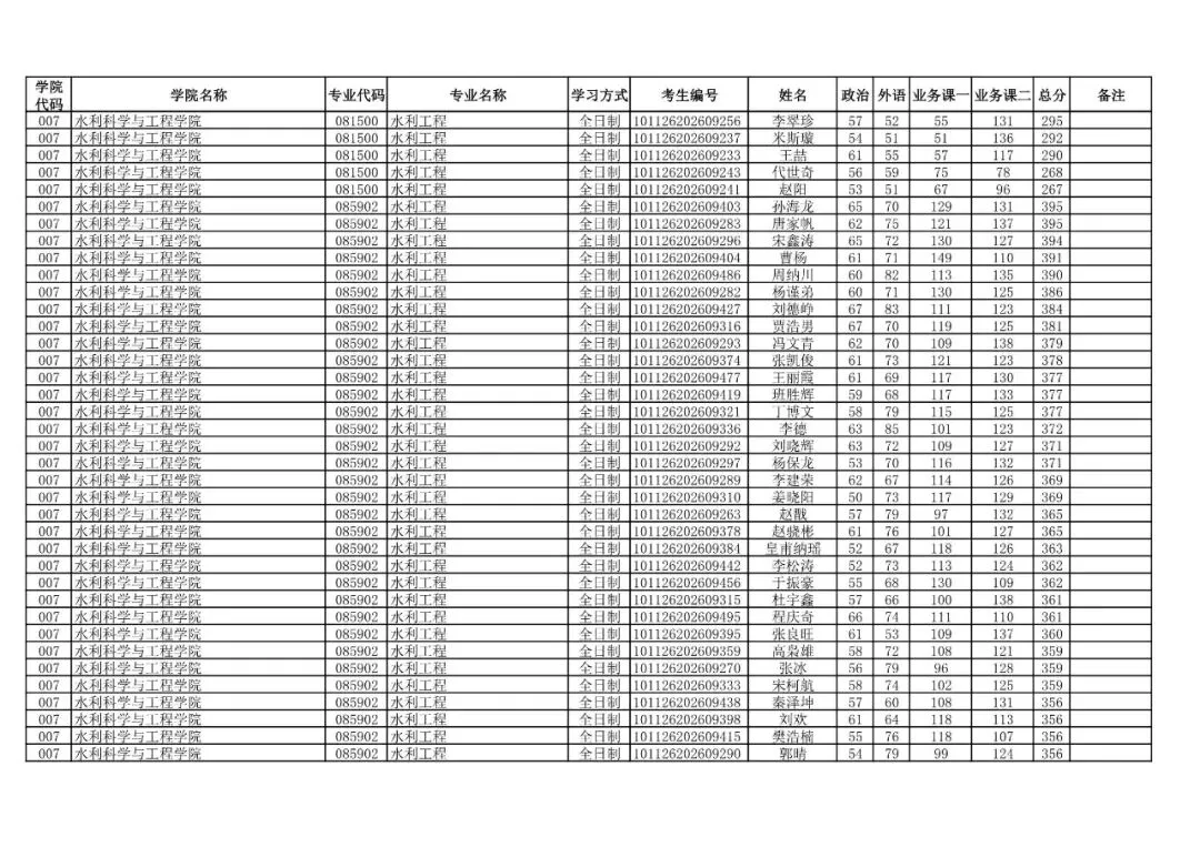
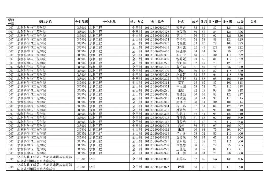
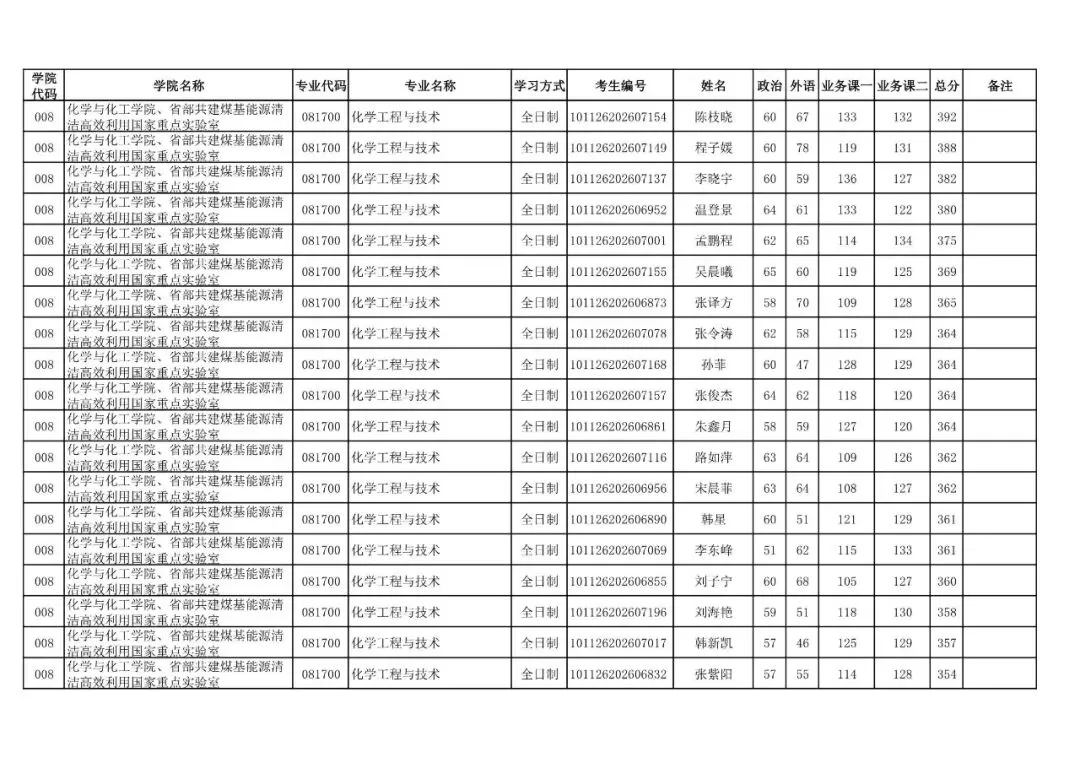
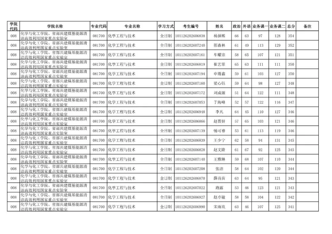
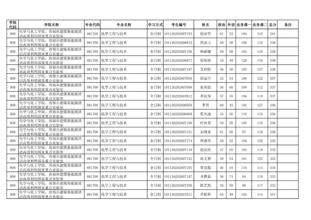
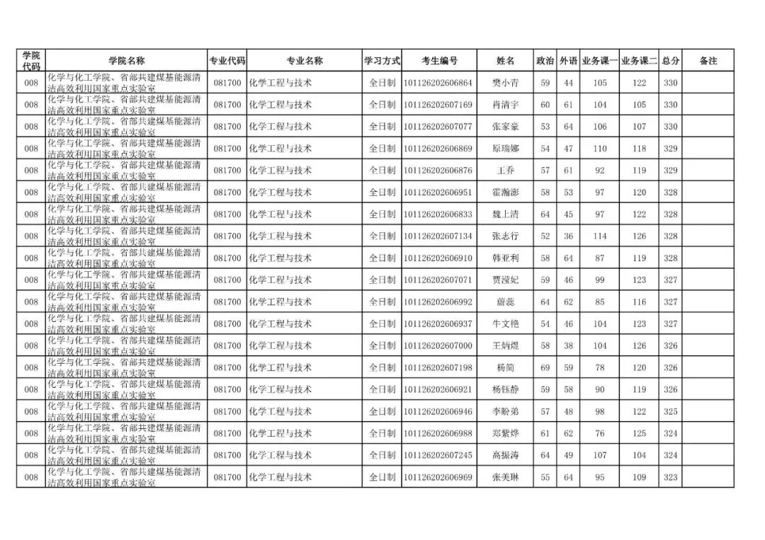
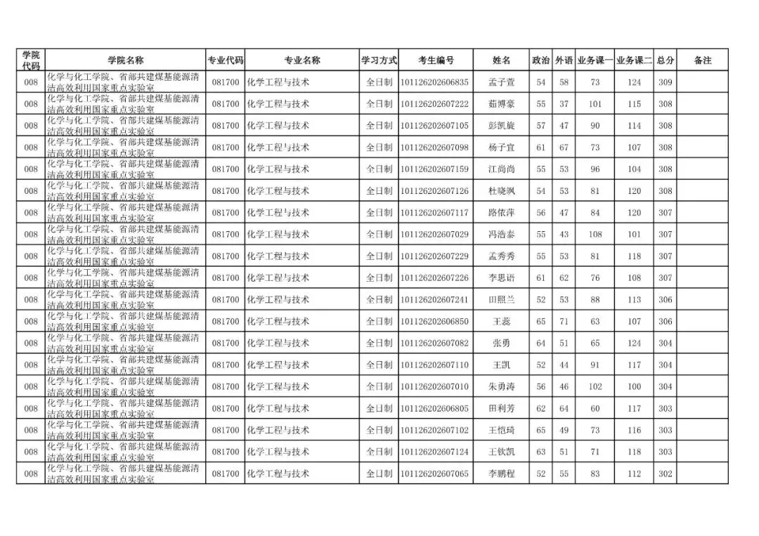
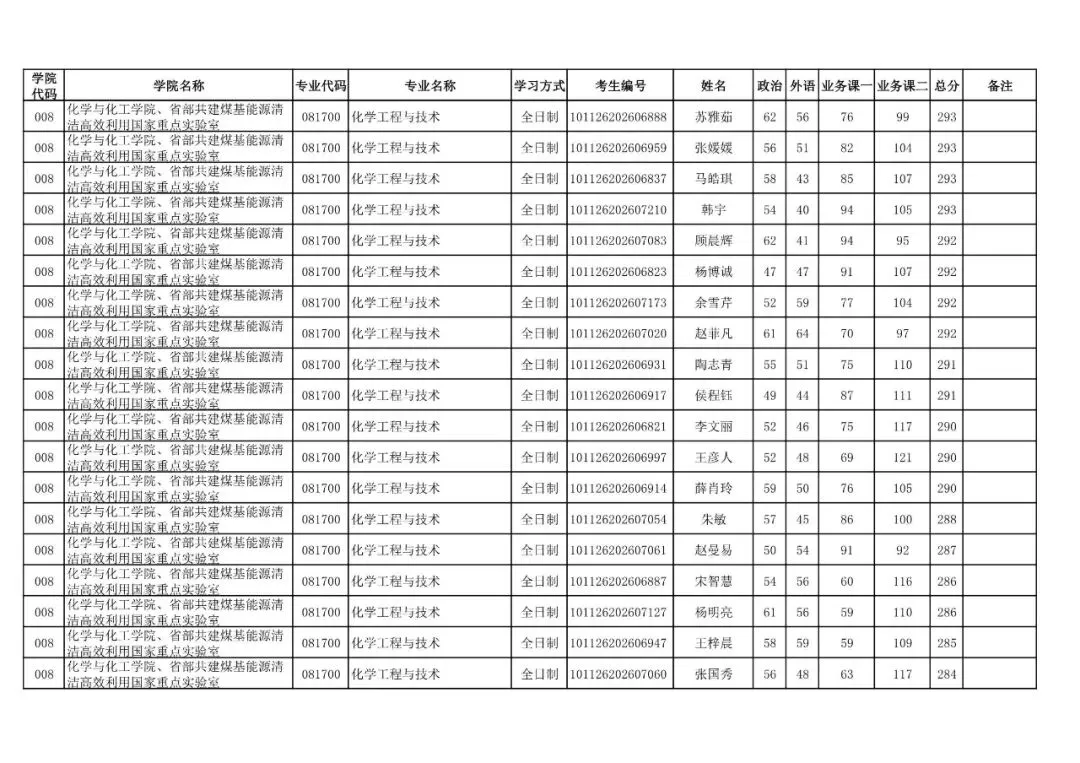
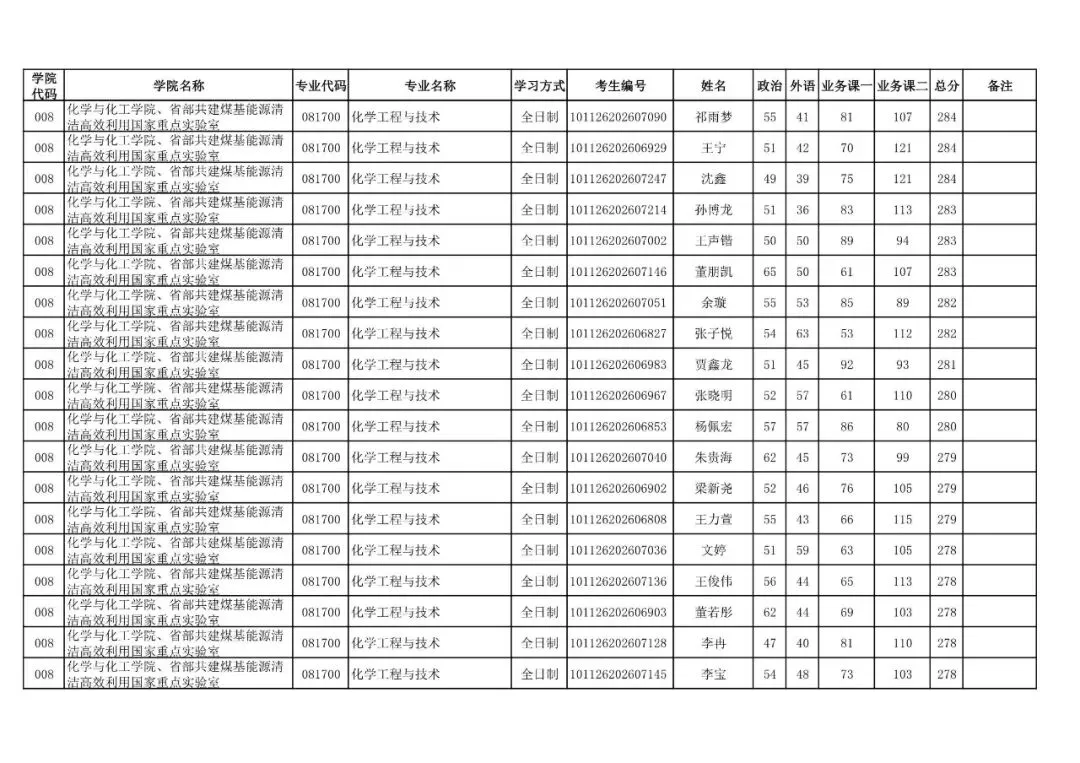
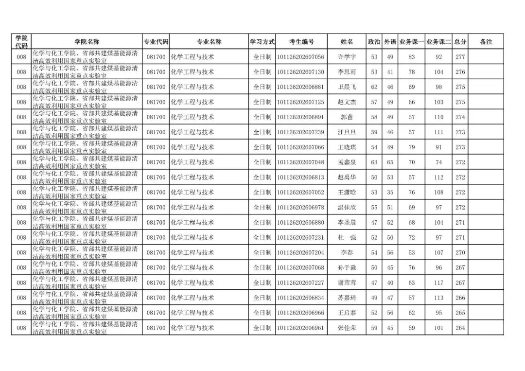
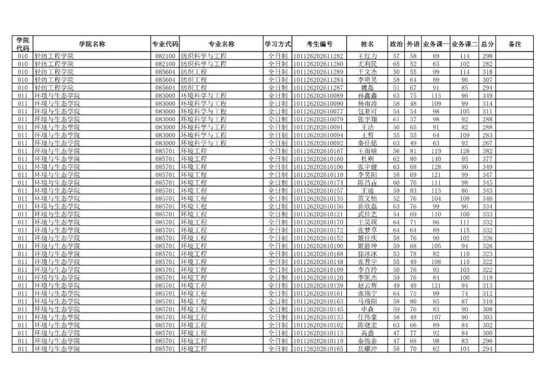
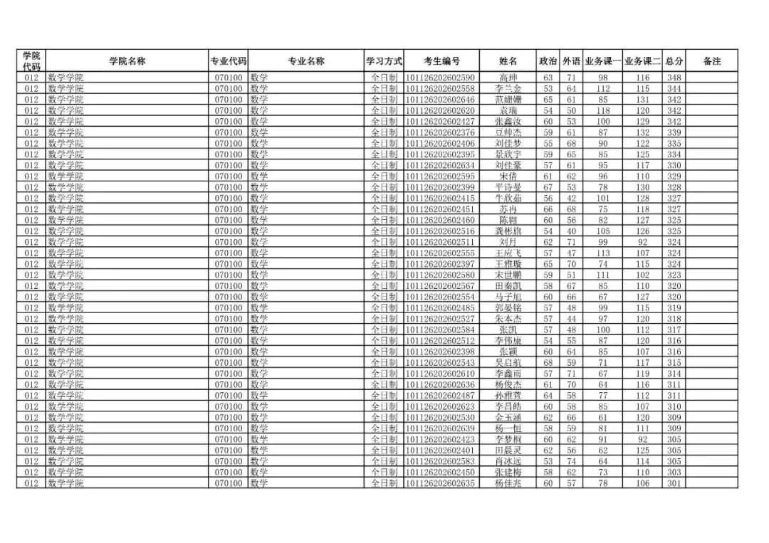
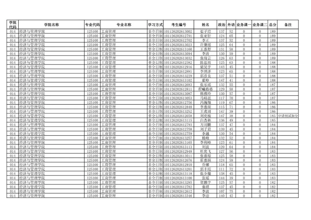
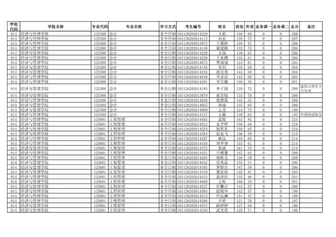
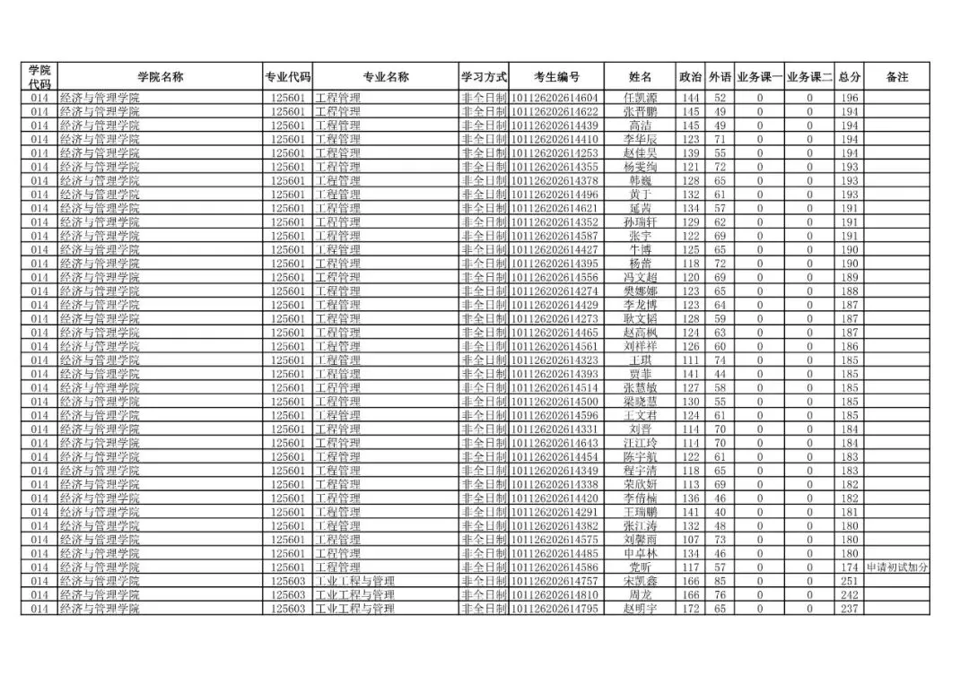
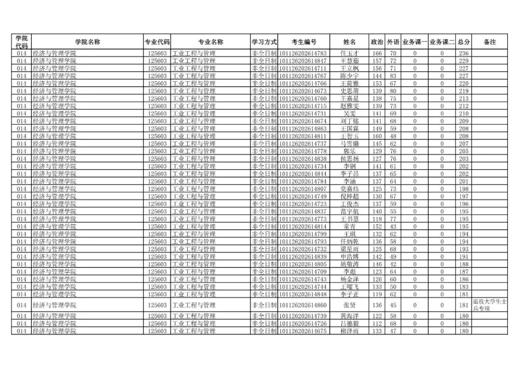
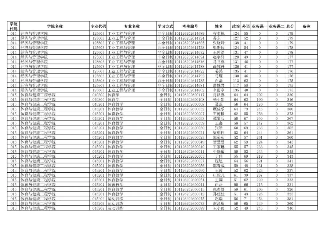
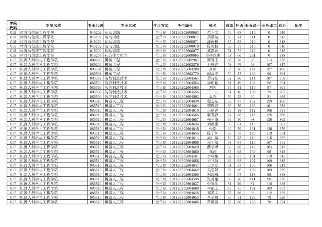
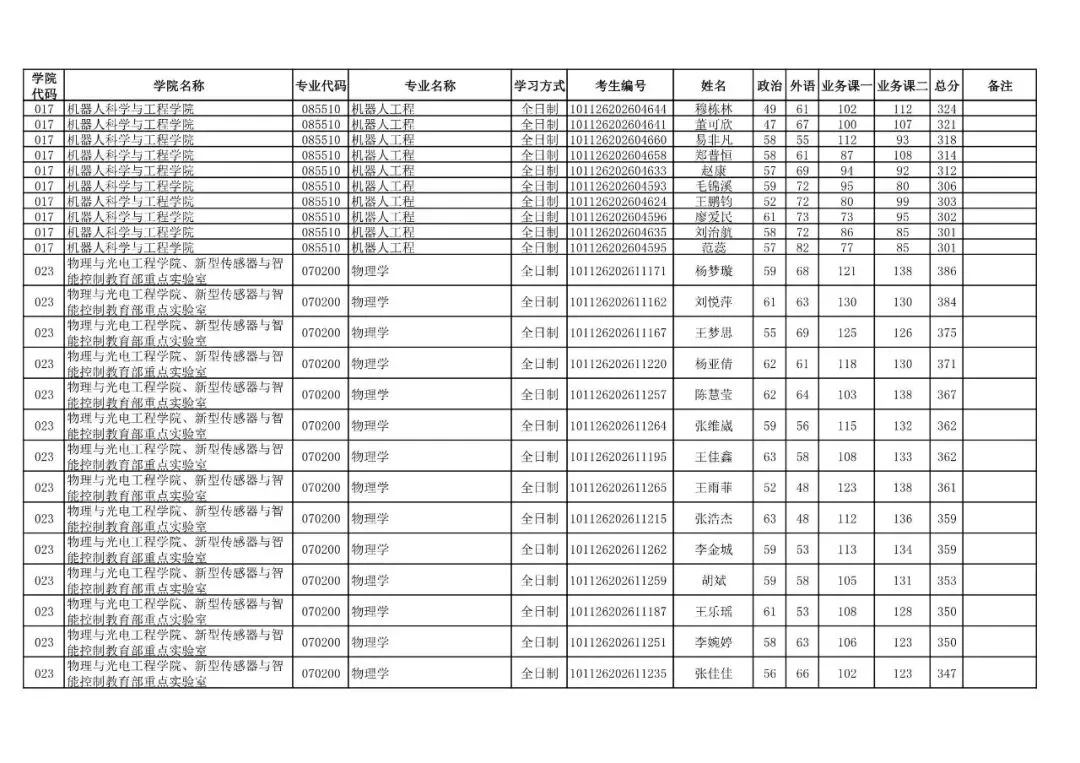
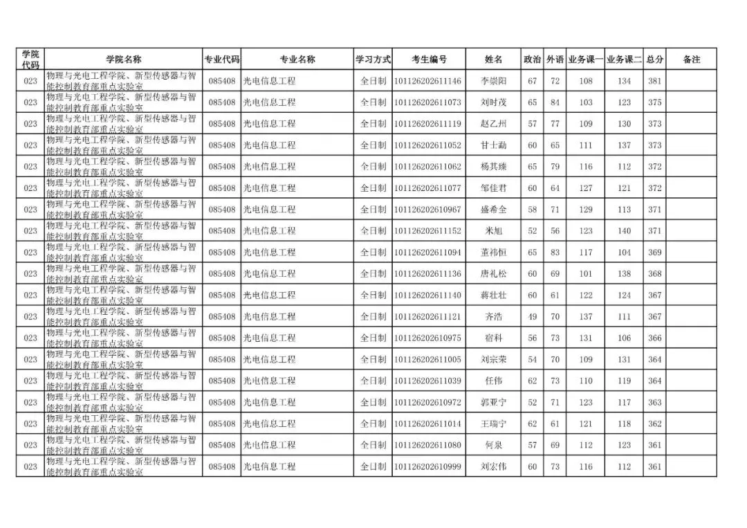
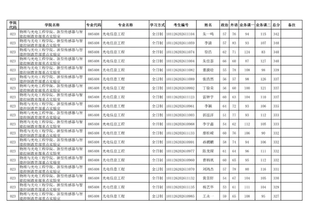
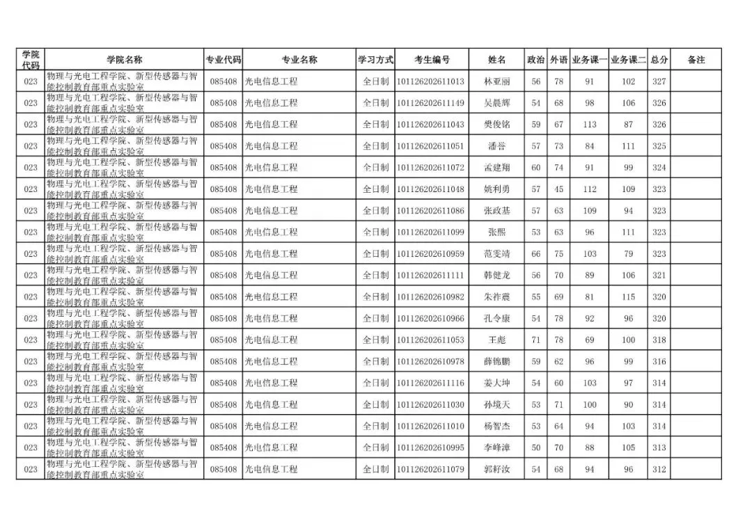
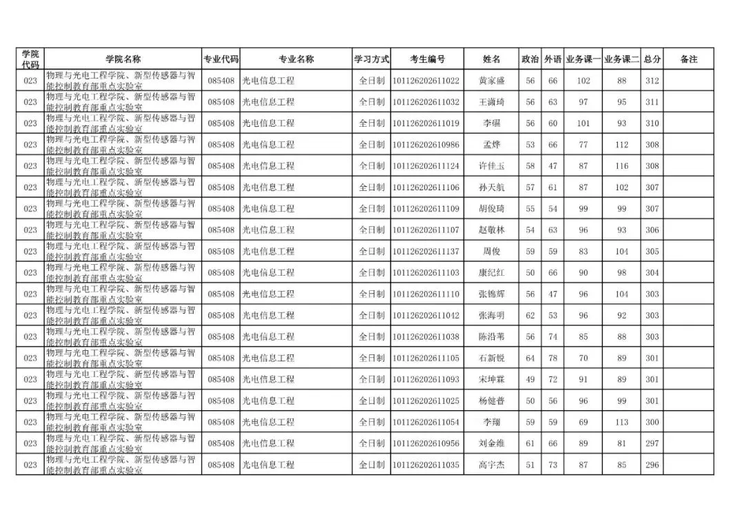
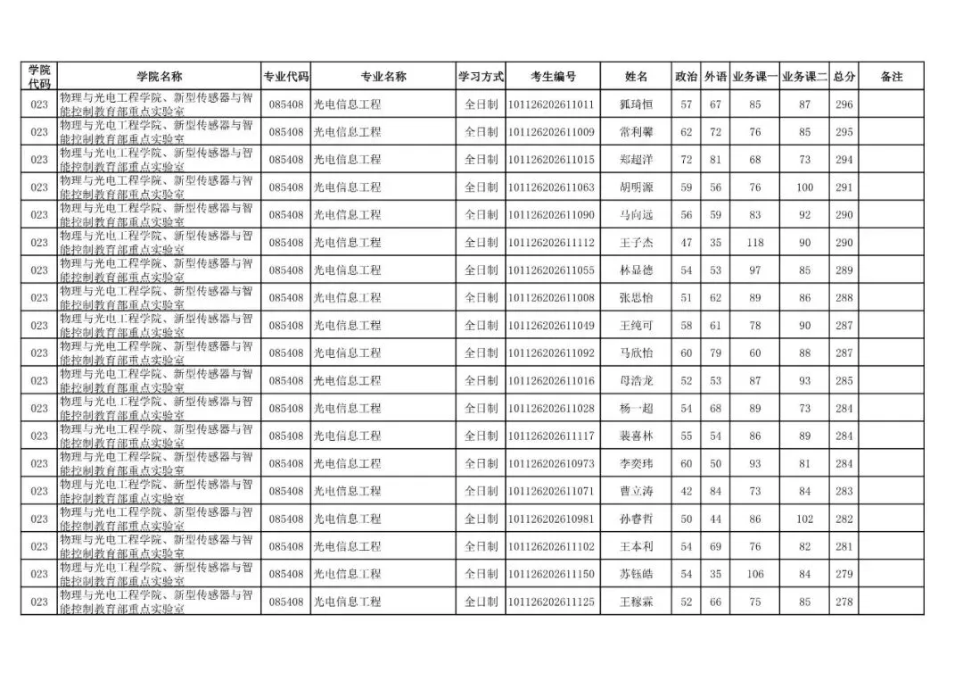
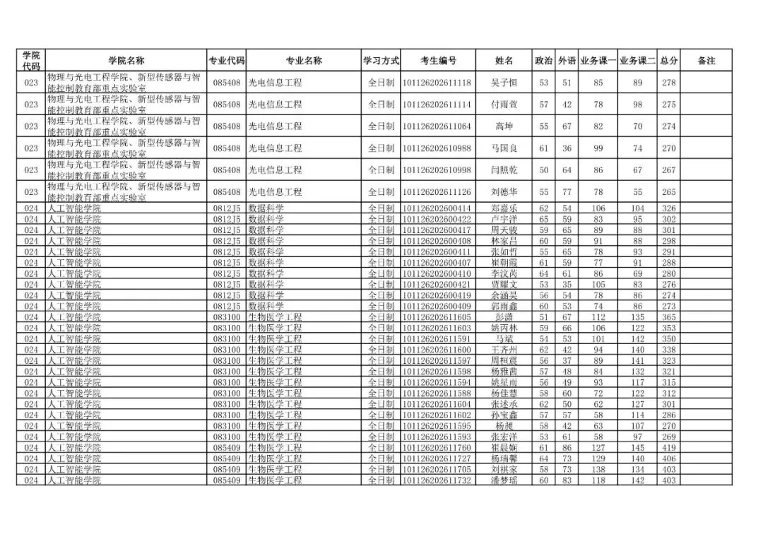
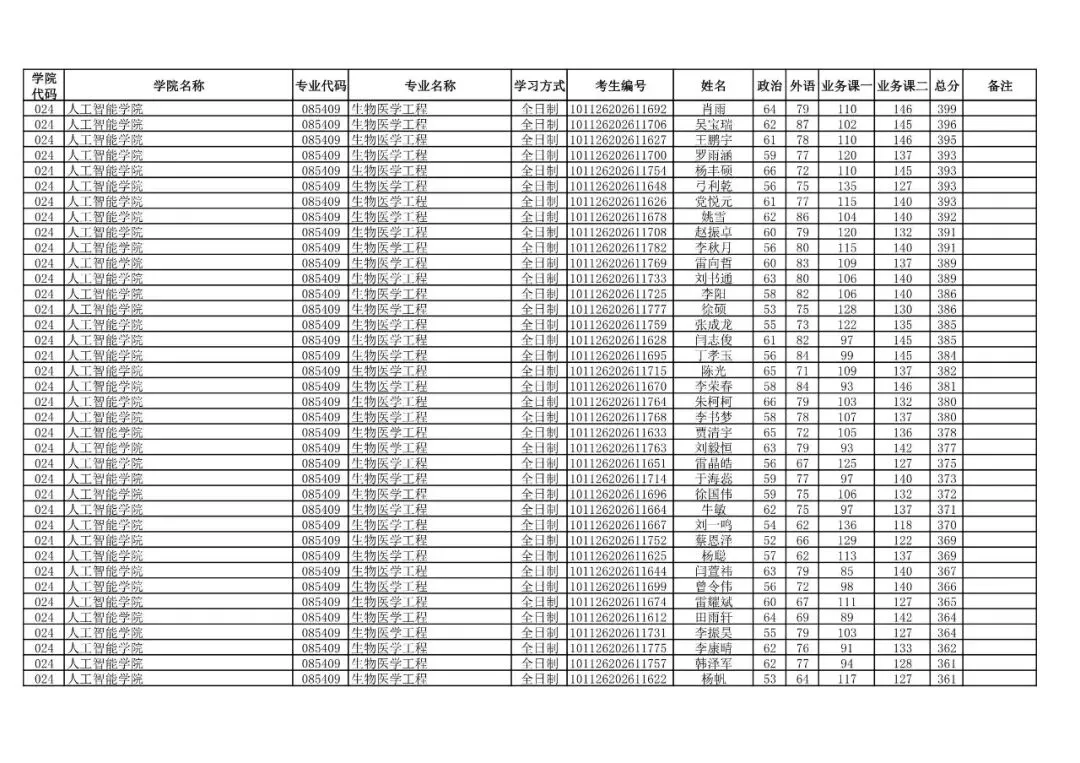
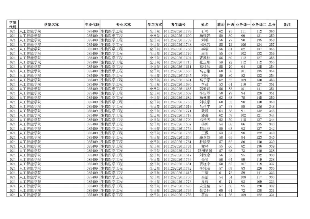
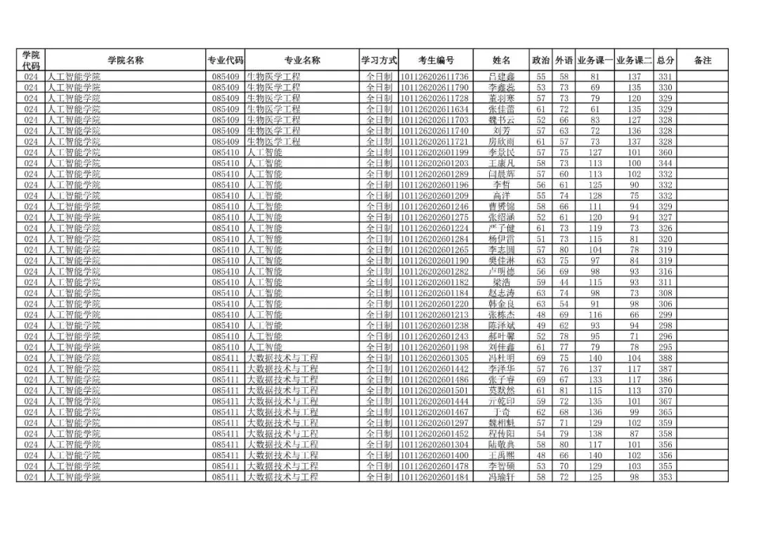
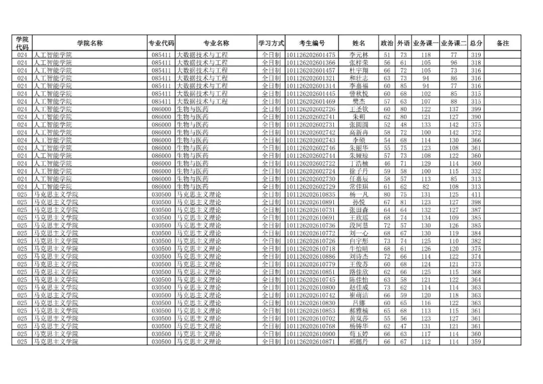
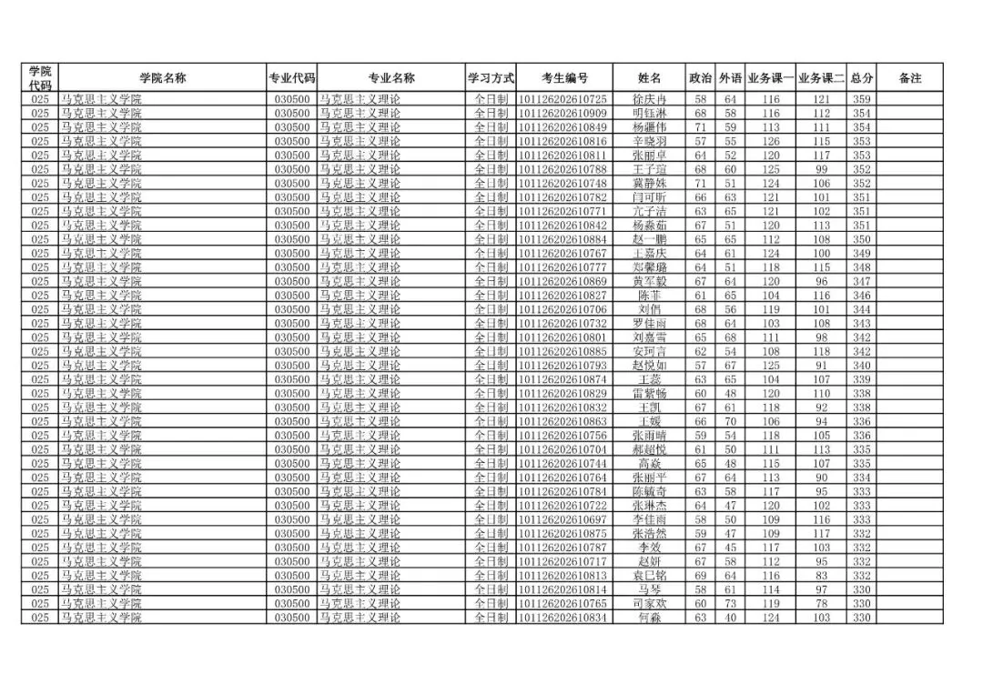
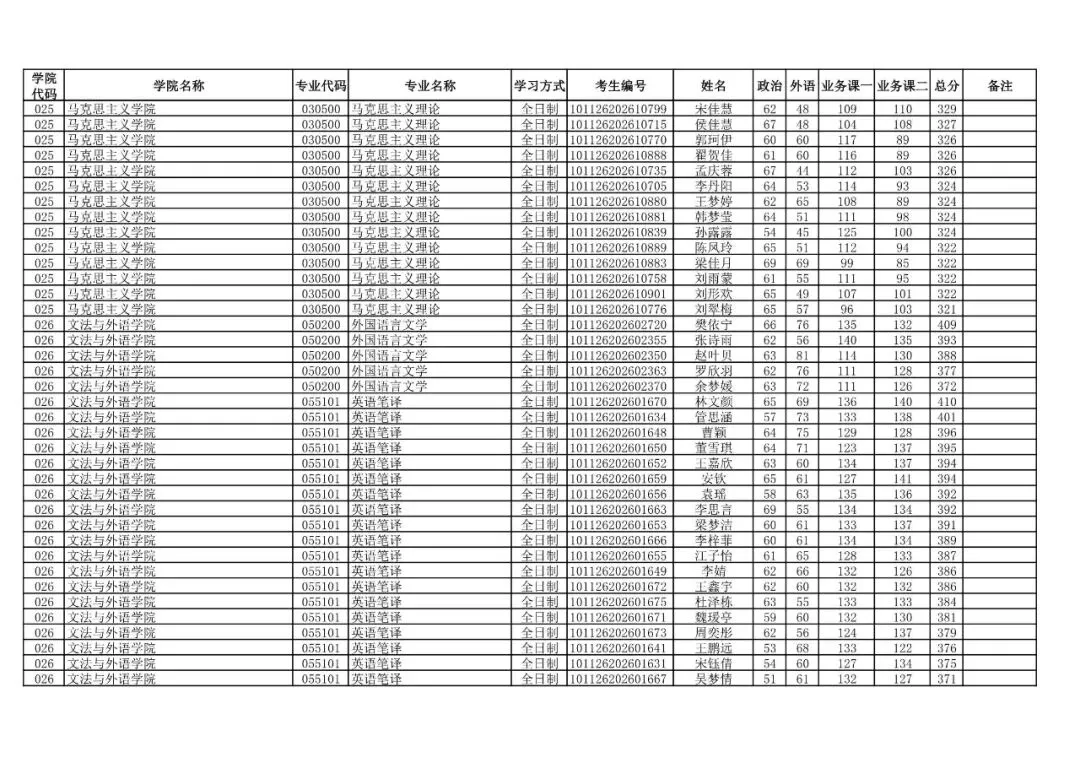
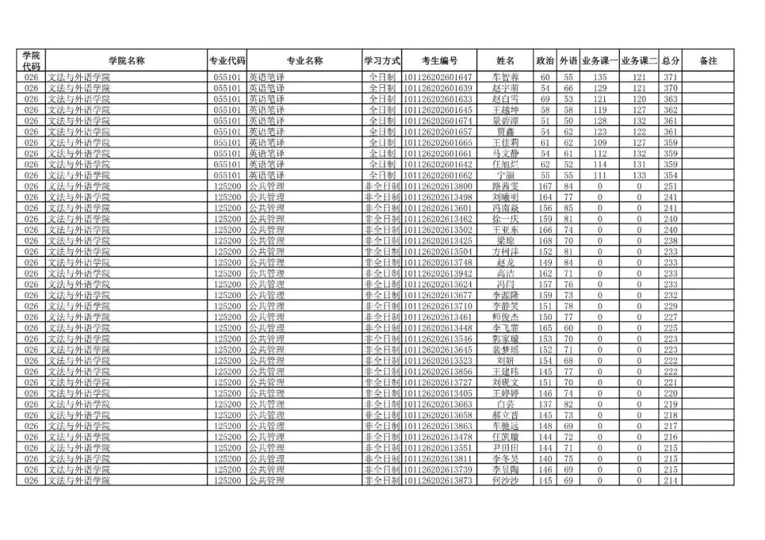
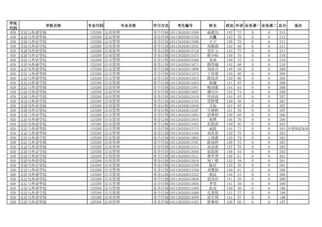
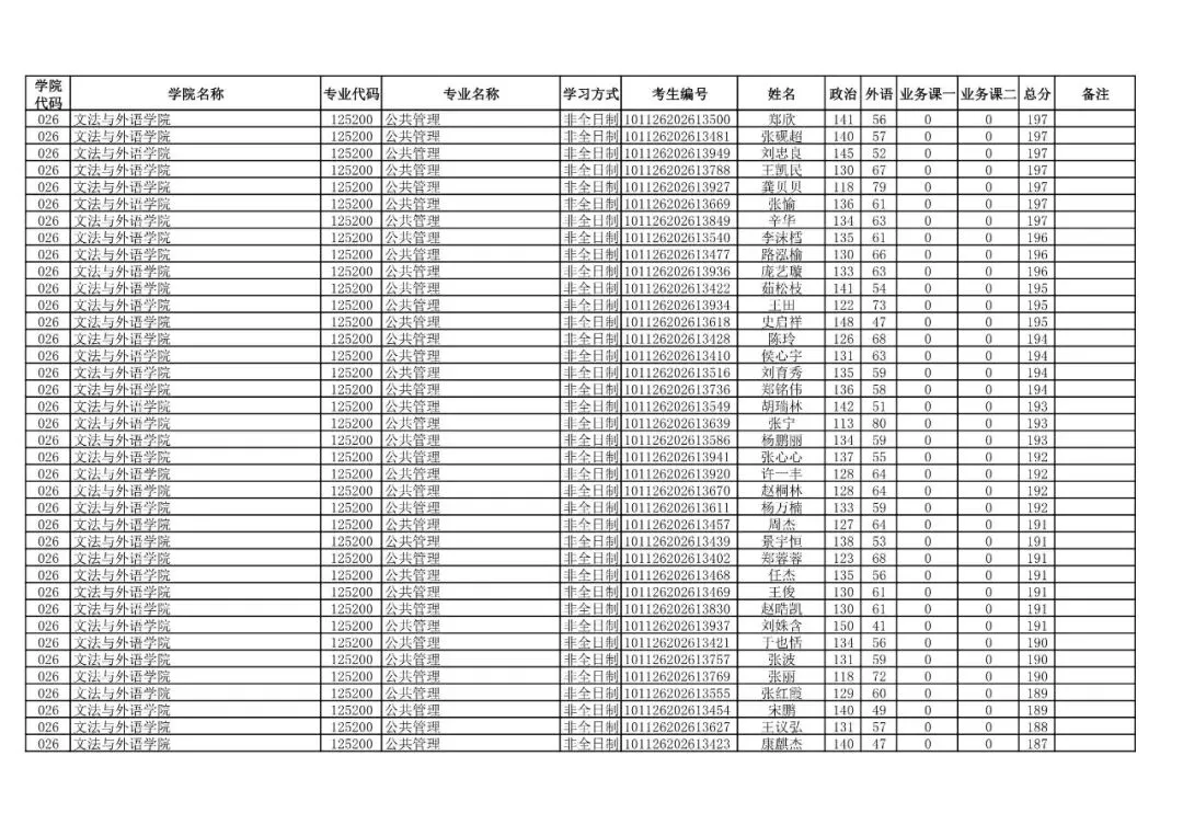
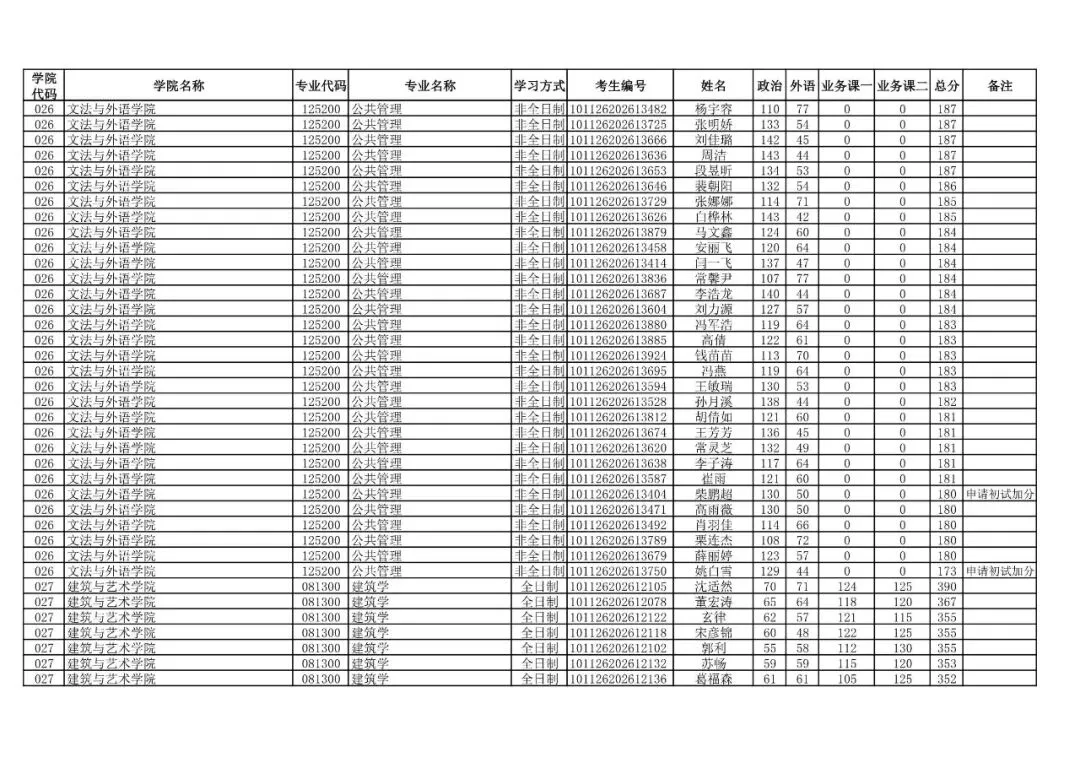
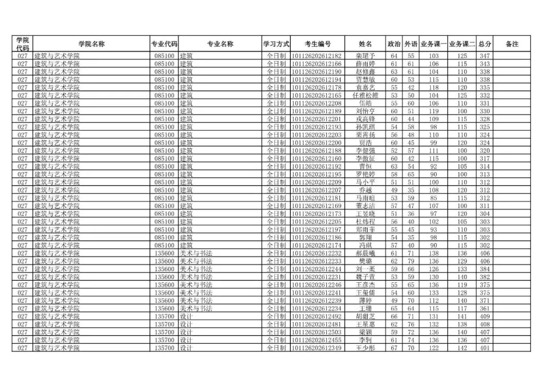
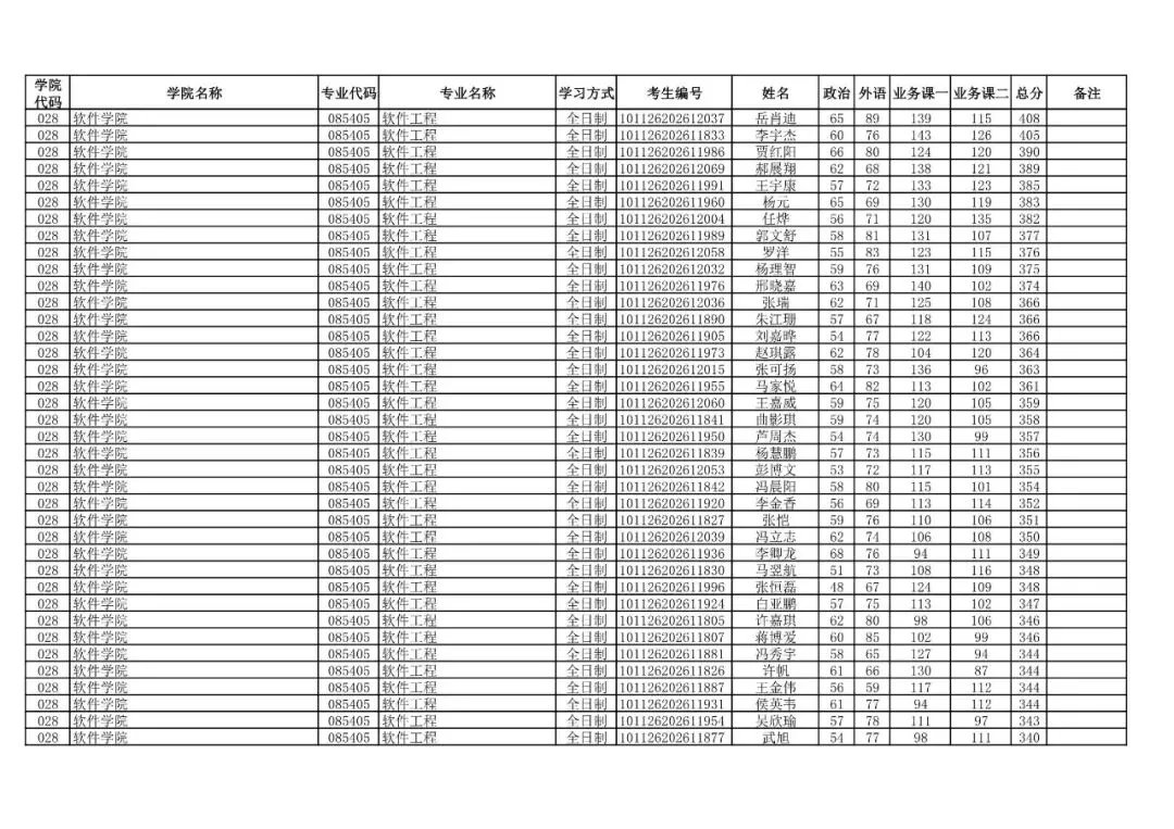
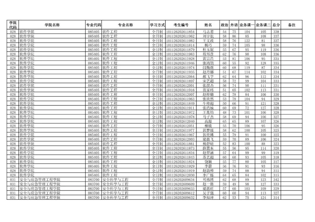
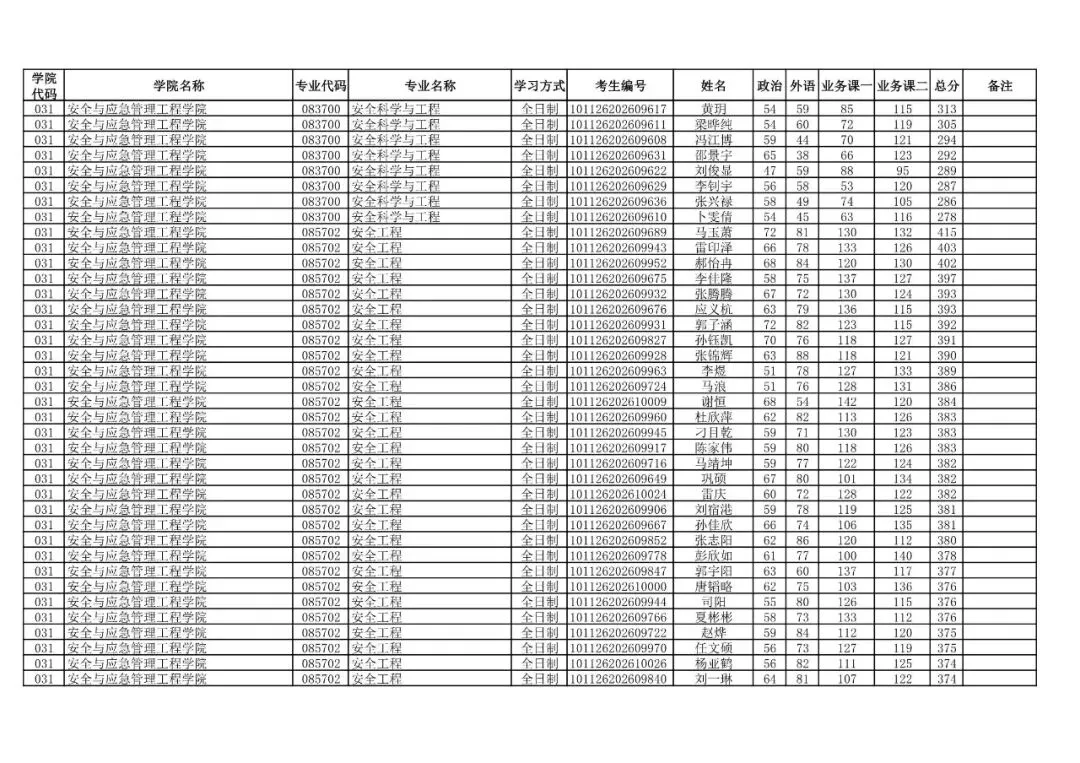
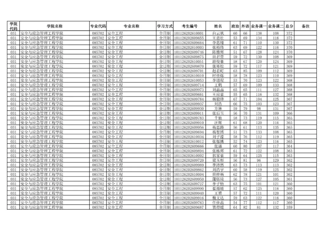
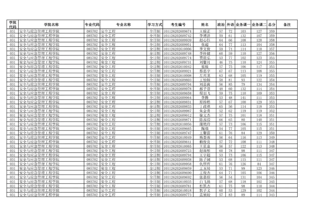
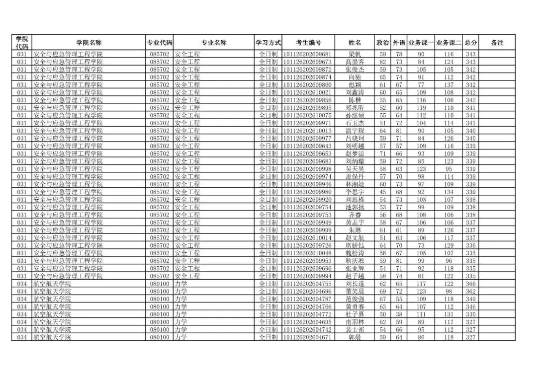
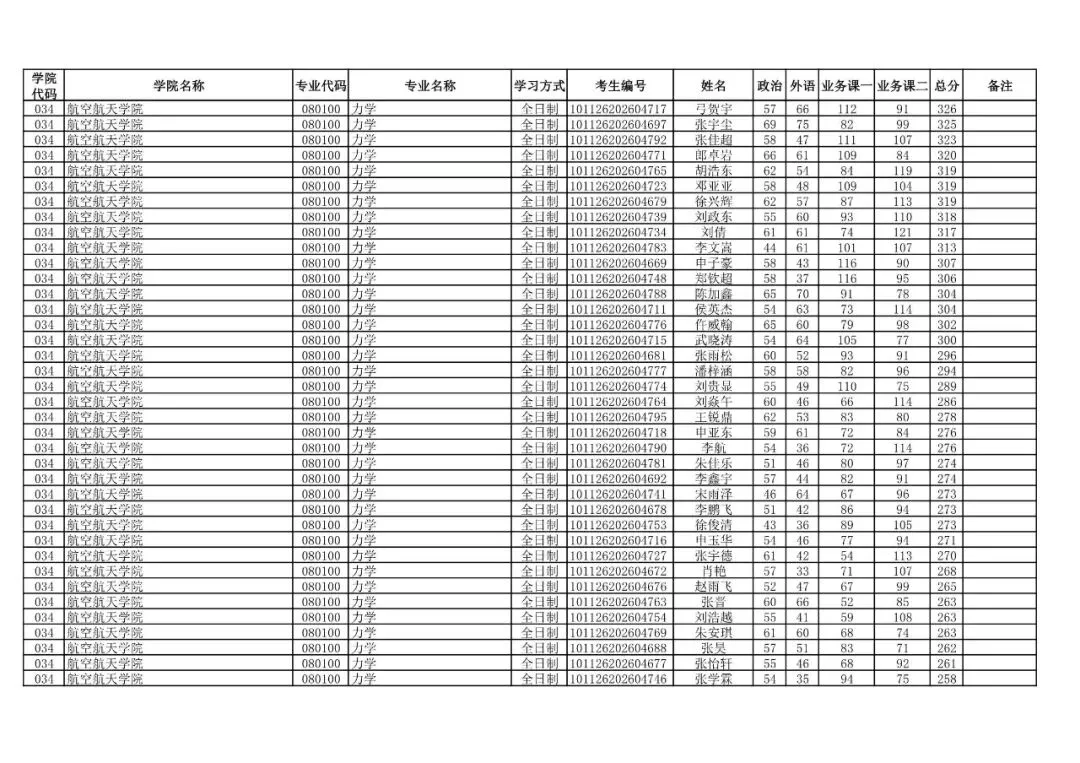
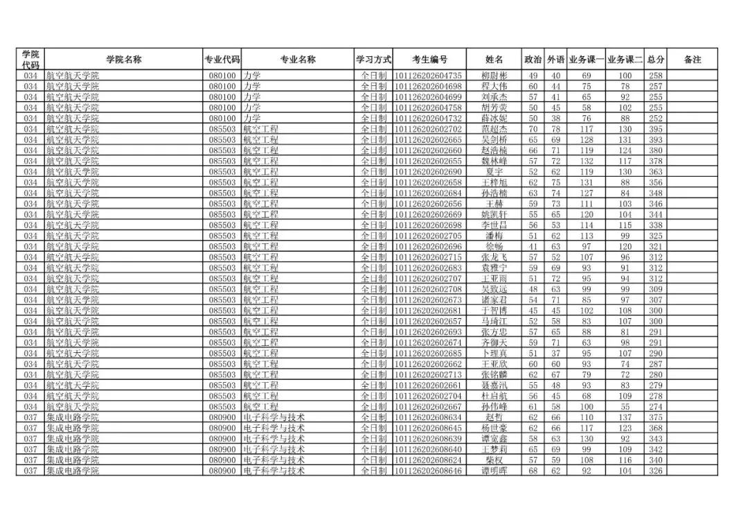
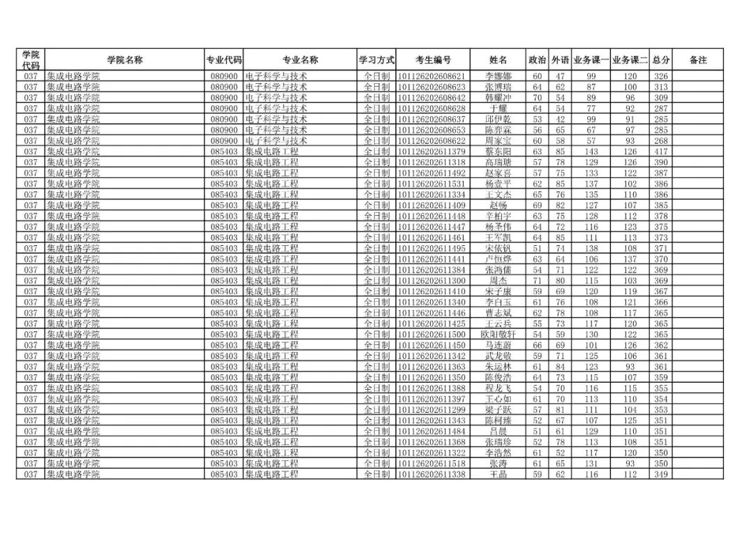
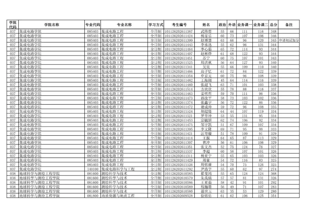
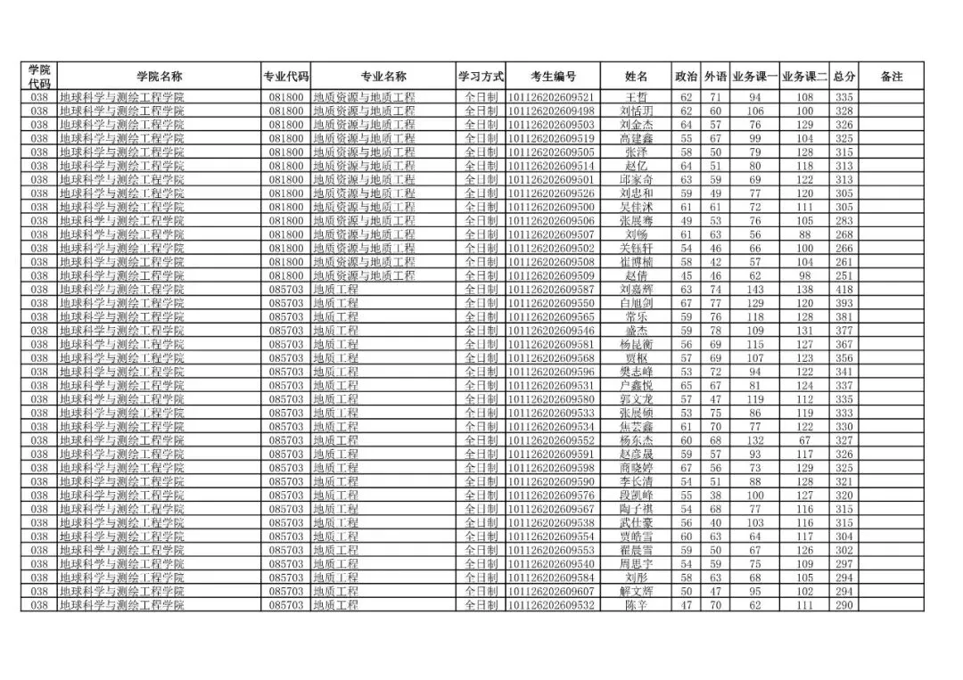
太原理工大学2026年硕士研究生一志愿考生复试名单公示























































































































































关于2026年硕士研究生招生立功表彰退役考生参加复试的通知
根据教育部《2026年全国硕士研究生招生工作管理规定》(教学〔2025〕2号)文件有关内容,对服役期间获得三等战功、二等功以上奖励或者二级以上表彰,符合硕士研究生招生考试报考条件的退役人员,可在规定时间内通过教育部“全国推荐免试攻读研究生(免初试、转段)信息公开暨管理服务系统”申请免初试攻读硕士研究生。
2026年报考我校的该类考生共14名(详见下表),考生须满足我校招生简章公布的硕士研究生招生报考条件,我校不招收同等学力人员。
按照教育部、山西省招生考试管理中心关于立功表彰退役军人免初试考生的复试工作部署安排和工作要求,目前立功表彰考生的相关资格审核正在由有关部门负责审核,我校可安排考生先参加复试,资格审核未通过者复试结果无效。考生的录取结果待其审核结果和复试成绩均通过后予以确定。
请考生提前准备以下材料:
1、考生居民身份证;
2、应届考生提供《教育部学籍在线验证报告》,往届考生提供本科毕业证、学位证、《教育部学历证书电子注册备案表》和《教育部学籍在线验证报告》;
3、考生《应征公民入伍批准书》和《退出现役证》(2022年9月1日后退役的考生提交《中国人民解放军退出现役证书》或《中国人民武装警察部队退出现役证书》);
4、考生个人档案中《义务兵退出现役登记表》或《士官退出现役登记表》复印件(加盖公章)。
5、立功、表彰相关证明材料。
考生请于2026年3月26日下午18点前将相关证明材料扫描合成一个 PDF 格式电子版文件(命名格式:退役专项+考生编号+姓名.pdf),发送至邮箱:yjsyzs@tyut.edu.cn。
考生于复试报到当天(3月27日)携带相关材料原件及复印件前往迎西校区研究生院招生办公室(办公主楼421室,0351-6010220)进行资格审核。过期不提供相关证明材料或材料不符合要求的考生将取消复试资格。
学院代码 | 学院名称 | 专业代码 | 专业名称 | 学习方式 | 考生编号 | 姓名 |
003 | 电气与动力工程学院、煤电清洁智能控制教育部重点实验室 | 080800 | 电气工程 | 全日制 | 101126202699901 | 王磊 |
003 | 电气与动力工程学院、煤电清洁智能控制教育部重点实验室 | 085406 | 控制工程 | 全日制 | 101126202699902 | 贾焱峰 |
006 | 土木工程学院 | 085901 | 土木工程 | 全日制 | 101126202699904 | 李荣添 |
006 | 土木工程学院 | 085901 | 土木工程 | 全日制 | 101126202699903 | 张嘉政 |
011 | 环境与生态学院 | 085701 | 环境工程 | 全日制 | 101126202699905 | 姜卫星 |
017 | 机器人科学与工程学院 | 080200 | 机械工程 | 全日制 | 101126202699906 | 常青山 |
024 | 人工智能学院 | 085410 | 人工智能 | 全日制 | 101126202699907 | 冯芝蓬 |
025 | 马克思主义学院 | 030500 | 马克思主义理论 | 全日制 | 101126202699908 | 明豪华 |
009 | 矿业工程学院、原位改性采矿教育部重点实验室 | 085705 | 矿业工程 | 非全日制 | 101126202699909 | 刘杰 |
014 | 经济与管理学院 | 125100 | 工商管理 | 非全日制 | 101126202699912 | 程洋 |
014 | 经济与管理学院 | 125100 | 工商管理 | 非全日制 | 101126202699911 | 高宇 |
014 | 经济与管理学院 | 125100 | 工商管理 | 非全日制 | 101126202699910 | 卜瑞鑫 |
014 | 经济与管理学院 | 125300 | 会计 | 非全日制 | 101126202699913 | 王晓 |
026 | 文法与外语学院 | 125200 | 公共管理 | 非全日制 | 101126202699914 | 赵一鸣 |



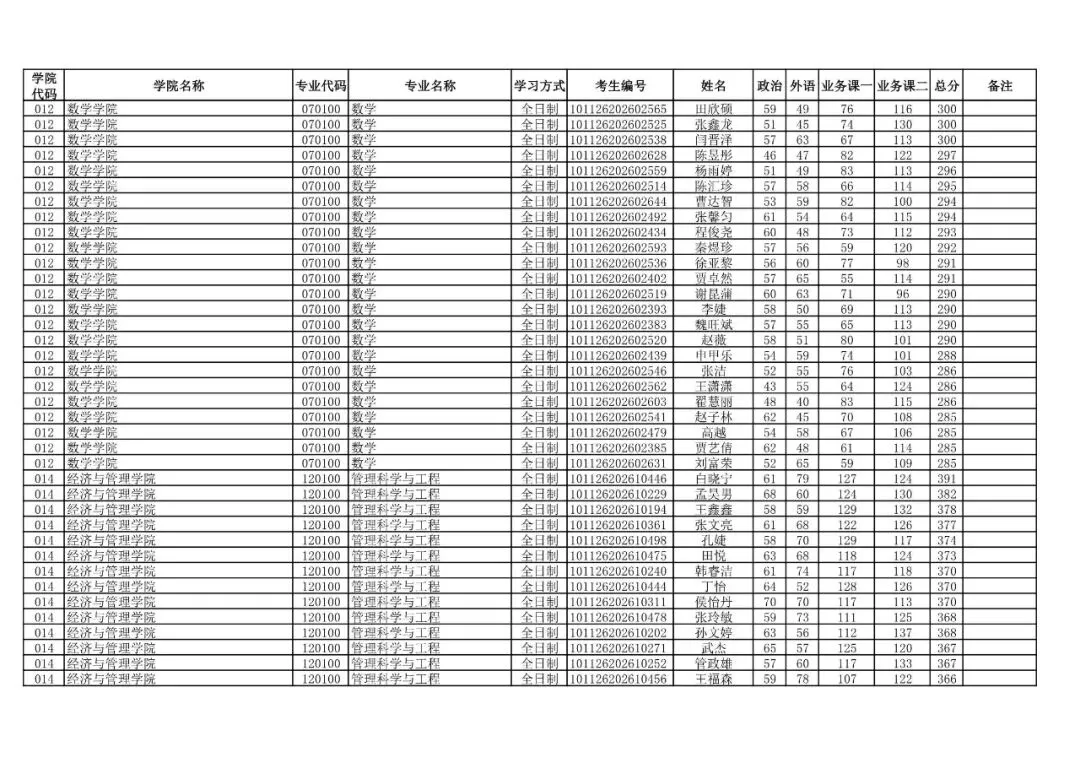
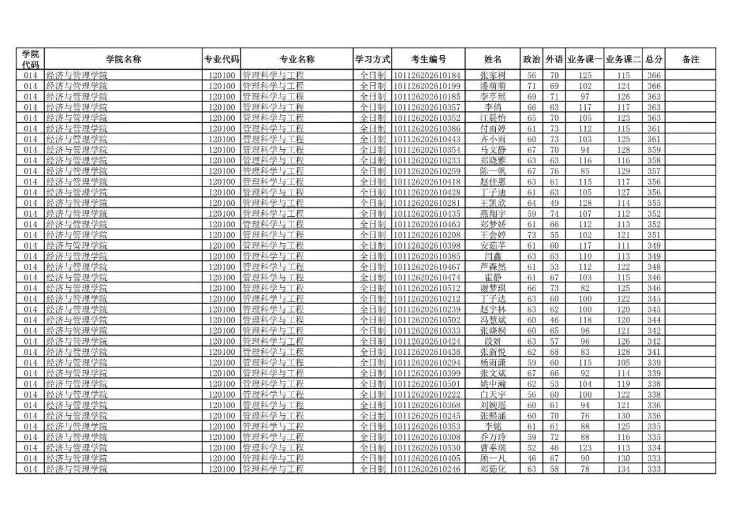
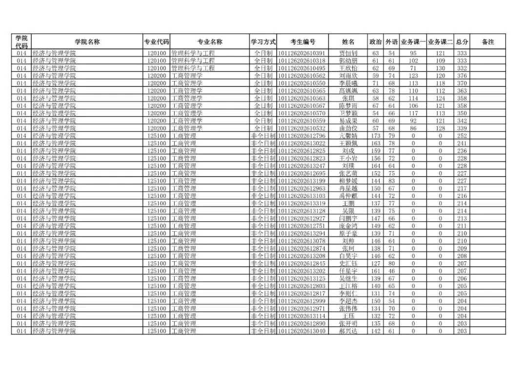
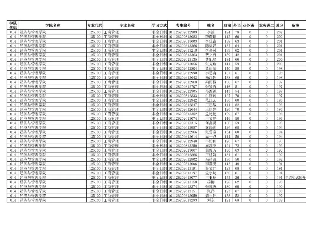
太原理工大学2026年硕士研究生招生一志愿复试分数线
我校2026年一志愿考生进入复试的初试成绩基本要求和有关说明如下:
一、我校各统考学科专业的单科复试线执行教育部划定的“2026年全国硕士研究生招生考试考生进入复试的初试成绩基本要求(A类考生)”分数线,学科专业总分执行下表分数线。单独考试类专业单科线为35分、总分260分。
二、报考“退役大学生士兵计划”复试分数线:总分及单科不低于教育部划定的“2026年全国硕士研究生招生考试考生进入复试的初试成绩基本要求(A类考生)”相应学科专业的要求。
三、达到我校学科专业复试分数线并满足专业报考条件的考生可参加复试。
四、我校2026年硕士研究生招生考试一志愿复试方式采取现场复试。复试时间为3月27日-29日。
(1)3月27日考生前往复试学院报到。
(2)3月28-29日由各复试学院根据实际情况安排组织复试。
五、请考生近期关注我校研究生院网站发布的关于复试工作最新通知公告,提前做好复试准备。


关于2026年硕士研究生招生复试工作安排的通知
根据教育部、山西省招生考试管理中心对2026年硕士研究生复试工作的文件要求及部署安排,结合学校硕士研究生招生考试工作实际情况,现将太原理工大学2026年硕士研究生招生复试有关工作安排如下:
一、复试对象及复试时间
1. 报考我校2026年硕士研究生的一志愿考生达到进入复试的初试成绩基本要求后可参加复试,各学科专业一志愿复试分数线在研究生院网站公布。一志愿复试方式为现场复试,时间为3月27日-29日。具体如下:
(1)3月27日所有参加复试的一志愿考生持准考证、身份证前往复试学院报到。未按时报到的考生将不安排复试。考生到学院报到时需参加由学院组织的复试资格审查。
(2)3月28-29日各复试学院根据实际情况安排组织复试。
2. 调剂考生复试时间安排在教育部调剂系统4月8日开通后一周内进行。复试方式原则上采取现场复试。
3. 各学院将于复试工作开始前在本学院网站公布具体复试时间、地点、工作方案、联系方式等内容,请考生密切关注太原理工大学研究生院网站和各学院网站相关通知,并按要求提前做好复试准备工作。
二、复试安排
1. 复试内容
复试主要是对考生的创新能力、专业素养和综合素质进行考查,由招生学院具体组织实施。复试考核主要包括思想政治素质和品德考核、专业知识水平和能力考核、综合素质和能力考核、外语水平测试。
报考管理类综合能力科目的相关专业考生除上述内容外,还需参加学院组织的思想政治理论考试,成绩计入复试总成绩。
2. 思政品德考核
参加复试的考生须将完成审查并盖章的《太原理工大学硕士研究生招生思政品德考核表》(附件1)在复试时交学院复试小组。填报注意事项如下:
(1)考核表填写形式需根据考核单位(考生所在学习或工作单位)的要求选择手填或者打印;
(2)应届考生需在读学校的院(系)盖党委(党支部)公章;
(3)往届考生在工作单位盖党委(党支部)公章,无工作的考生可在档案所在地、户籍所在地、或常住地社区(村委会)盖党委(党支部)公章。
3. 资格审查
考生复试资格审查由各招生学院在复试开始前统一对考生居民身份证、学历证书、学籍学历认证报告等材料及考生报考资格进行严格审查,确保参加复试的考生符合教育部规定要求。
(1)应届考生需提供身份证、准考证、学生证和《教育部学籍在线验证报告》(有效期可延长至2026年6月)。
(2)往届考生需提供身份证、准考证、毕业证、学位证原件和《教育部学历证书电子注册备案表》(有效期可延长至2026年6月),国(境)外学历考生须提供教育部留学服务中心出具的学历学位认证报告。
4. 复试考生诚信承诺书
参加复试的考生须认真阅读《太原理工大学2026年硕士研究生招生复试考生诚信承诺书》(附件2)并确认签字,在进行资格审查时交复试学院。
5.复试缴费
根据山西省发展和改革委员会、山西省财政厅《关于研究生招生考试复试收费标准的复函》(晋发改收费函[2019]458号),所有参加复试的考生均须缴纳复试费120元后方能参加复试,否则视为放弃复试录取资格。缴费后因本人原因导致取消复试资格或不能参加复试的,学校不予退还复试费。网上缴费具体通知将于复试工作开始前在我校研究生院网站公布。
6. 体检
我校2026年硕士研究生招生考试体检与新生入学体检合并。体检要求按照教育部有关文件要求执行。
三、其他
有关需接收调剂的专业、调剂分数线及要求、调剂工作程序、调剂具体时间等内容将在一志愿复试录取工作结束后,在太原理工大学研究生院网站和有关学院网站发布通知公告。
附件1-太原理工大学硕士研究生招生思政品德考核表.doc
附件2-考生诚信承诺书.doc


太原理工大学2026 年“退役大学生士兵计划”复试名单公示
我校 2026 年“退役大学生士兵专项计划”复试分数线为:总分及单科不低于教育部划定的“2026年全国硕士研究生招生考试考生进入复试的初试成绩基本要求(A类考生)”相应学科专业的要求。现将符合条件参加复试的名单公示如下:

请考生提前准备以下材料:
1、考生居民身份证;
2、考生准考证;
3、应届考生提供《教育部学籍在线验证报告》,往届考生提供毕业证、学位证、《教育部学历证书电子注册备案表》和《教育部学籍在线验证报告》;
4、考生《应征公民入伍批准书》和《退出现役证》(2022年9月1日后退役的考生提交《中国人民解放军退出现役证书》或《中国人民武装警察部队退出现役证书》);
5、考生个人档案中《义务兵退出现役登记表》或《士官退出现役登记表》复印件(加盖公章)。
考生请于2026年3月26日下午18点前将相关证明材料扫描合成一个 PDF 格式电子版文件(命名格式:退役专项+考生编号+姓名.pdf),发送至邮箱:yjsyzs@tyut.edu.cn。
考生于复试报到当天携带相关材料原件及复印件前往研究生院招生办公室(迎西校区办公主楼421室)进行资格审核。过期不提供相关证明材料或材料不符合要求的考生将取消复试资格。
太原理工大学2026年申请初试加分政策考生名单公示
根据教育部《2026年全国硕士研究生招生工作管理规定》(教学〔2025〕2号)文件有关内容,一志愿报考我校且符合以下条件的考生可申请初试总成绩加10分。
一、参加“大学生志愿服务西部计划”“三支一扶计划”“农村义务教育阶段学校教师特设岗位计划”“国际中文教育志愿者”项目之一,服务期满且考核合格,3年内参加全国硕士研究生招生考试的考生。
二、高校学生应征入伍服现役退役,达到全国硕士研究生招生考试报考条件,3年内参加考试的考生。报考“退役大学生士兵计划”不享受退役大学生士兵初试加分政策。
三、申请享受初试加分的考生,须在网上报名时按要求填报相关信息。有关部门按职责分工进行审核。未按规定申报或审核未通过的,不享受加分政策。加分项目不累计。
经考生申请,根据相关部门反馈的审核名单,以下考生符合初试总成绩加分政策要求,享受加分政策后成绩满足我校复试分数线要求。考生名单公示如下:

以上考生请于2026年3月26日下午18:00前将相关证明材料扫描合成一个 PDF 格式电子版文件(命名格式:申请加分+考生编号+姓名.pdf),发送至邮箱:yjsyzs@tyut.edu.cn。
太原理工大学2026年硕士研究生招生复试录取工作办法
为做好我校2026年硕士研究生复试录取工作,按照教育部《2026年全国硕士研究生招生工作管理规定》(教学〔2025〕2号)、《关于做好2026年全国硕士研究生招生复试录取工作的通知》(教学司〔2026〕3号)、山西省招生考试管理中心《关于做好我省2026年硕士研究生复试录取工作的通知》(晋招考研〔2026〕5号)等文件精神,确保硕士研究生复试录取工作公平公正科学、安全平稳有序,现就我校2026年硕士研究生招生复试录取工作办法制定如下:
一、切实加强组织领导,确保复试录取规范有序
硕士研究生招生工作是国家选拔高层次专门人才的重要途径,复试录取是研究生招生工作的重要组成部分。学校坚持以习近平新时代中国特色社会主义思想为指导,深入贯彻党的重要会议精神,全面落实党的教育方针,坚持综合评价、择优录取,严格执行政策,严守工作纪律,规范录取行为,强化监督管理。按照山西省教育厅及省招生考试管理中心的整体安排部署,校党委充分分析当前研究生招生复试录取工作的复杂形势,切实提高政治站位,对2026年硕士研究生招生复试录取工作高度重视,把立德树人成效作为检验研究生考试招生的根本标准,牢固树立“考试招生育人”的理念,坚持服务战略、按需招生、全面衡量、择优录取和宁缺毋滥的原则,确保顺利完成复试录取工作。
研究生招生复试录取工作须在学校招生委员会的领导下进行,招生委员会下设研究生招生工作领导小组,领导小组办公室设在研究生院,负责学校复试录取工作的组织实施、统筹协调、规范管理、审核把关和指导监督。
各招生学院是本学院研究生复试录取工作的责任主体,须成立学院复试工作领导小组,负责制定本学院复试工作方案及组织实施复试工作。各学院要坚持立德树人导向,严守考试公平公正,择优遴选。学院复试录取工作领导小组成员不少于7人,组长由院长担任,为复试工作的第一责任人,党委书记担任副组长,其余人员由所属学科的专家、教授组成,配秘书1人。
学院根据参加复试的学术学位和专业学位考生人数,分类别设立多个由硕士生导师或专家组成的复试面试小组(每个小组分配的考生原则上不超过30人)。每个面试小组由5位面试专家(含组长1名)、秘书1人、思想政治素质考核人员1人组成,其中专业学位面试小组至少需有1位行业(或企业)专家参加。面试小组由经验丰富、学术水平高,公道正派、责任心强的导师或行业(企业)专家(副高职称以上)担任。面试小组在学院复试工作领导小组领导下按照本学院复试方案具体实施面试环节。
在复试过程中各学院要加强政治领导力度,在强化院长第一责任人的同时,加强党委书记的监督责任和风险廉政防控责任,学院党委应对复试过程进行监督防控,对复试过程中出现的重大问题须经党政联席会议研究决定。
各招生学院须对全部参加复试的工作人员进行政策、业务、纪律等方面的培训和管理,严格要求复试面试专家职责及考场行为规范,强化政治意识、保密意识和责任意识,坚决杜绝复试面试专家和工作人员自行其是、擅自调整或破坏规则。要做好考生的思想政治素质和品德的考核,对考生的政治态度、思想表现、道德品质、遵纪守法、诚实守信等方面严格审核,同时对参加复试的考生加强考试纪律宣传和安全教育,确保考生顺利完成复试工作。
各招生学院负责本学院复试专业的命题工作(尽量采用综合性、开放性试题),提前命制足量复试试题,复试试题管理工作参照初试自命题有关工作要求执行。
二、加强复试考核,确保选拔质量
我校复试录取工作指导思想坚持科学选拔,坚持资源向一流学科、重大科研成果、高培养质量及优质生源倾斜的指导方针,积极探索高层次专业人才选拔规律,采用多样化的考查方式确保生源质量。树立科学的选拔人才理念,坚持立德树人,加强对考生思想政治素质和品德的考查,坚持专业素养和创新能力考核选拔并重,既重视初试成绩,也重视既往学业表现和潜在能力素养。各招生学院要精心设计复试方案,严格规范复试过程管理,综合评价,全面考核,择优选拔,进一步优化研究生培养规模与结构,深化分类培养,不断增强学术学位研究生的原始创新能力和专业学位研究生的专业实践能力,提高复试工作的科学性和有效性,使拔尖创新人才脱颖而出。
三、准确执行调剂政策,严格规范开展调剂工作
(一)严格规范调剂录取工作程序。我校严格按照教育部“全国硕士研究生招生调剂服务系统”接收调剂考生,根据教育部的相关程序规范调剂录取工作,在规定时间内尽可能缩短考生调剂等待时间,及时向考生反馈是否接受其调剂复试申请、复试安排及复试结果。
(二)根据各专业招生能力科学制定专业调剂原则。
1.符合调入专业的报考条件;
2.满足我校调入专业的调剂复试分数线;
3.原则上调剂考生调入专业与第一志愿报考专业相同或相近,在同一学科门类范围内;
4.初试科目与调入专业初试科目相同或相近,其中初试全国统一命题科目应与调入专业全国统一命题科目相同(考生初试统考科目涵盖调入专业所有统考科目的,视为相同),自命题科目由各学院把关;
5.调入专业的初试科目设有统考科目的,调入考生一志愿科目中必须有统考科目,原则上按统考科目的级别顺序逐级进行调剂。同一门类下学术学位和专业学位之间若符合考试科目调剂要求可相互调剂。
四、加强复试工作要求,维护复试工作的权威性和严肃性
(一)我校研究生复试工作按照《太原理工大学研究生招生工作管理办法》执行,严格执行责任制和责任追究制。
(二)加强复试制度建设,确保复试工作严谨规范,有章可循。各学院的复试方案和实施细则一经确定必须严格执行,做到制度面前人人平等。
(三)充分发挥和规范导师在复试中的作用。各学院要遴选责任心强、学术水平高、品行端正的导师参与复试工作。组织对参与复试工作导师的政策和业务培训,帮助导师了解国家政策,掌握人才选拔的方式方法,既要避免干预导师对考生专业水平、创新能力和综合素质的判断,又要加强对导师个人行为的约束,避免随意主观判断。要严肃招生纪律,实行回避制度,坚决抵制和防止复试工作中舞弊行为的发生。
(四)加强对复试试题库的保密管理。各学院要高度重视试题的命题保密工作,防止试题外泄,复试试题的命题工作要严格执行《国家教育考试安全保密规定》相关要求。各学院复试工作领导小组负责人与涉密人员签订保密工作责任书,做到职责明确,责任到人。
(五)严格监管复试过程,复试过程中强化“三随机”(坚持随机选定考生次序、随机确定复试面试工作组成人员、随机抽取复试试题)等管理方式,采取必要措施提高防范作弊水平,研究防范通过AI技术作弊的有效措施。要对复试全程进行录音录像,确保复试工作政策执行准确、组织有序、管理到位。领导小组要会同纪检监察部门,对复试录取工作重点关键环节进行全面监督检查,通过现场巡查、录像回放抽查等方式,加强复试过程管理,及时纠正不规范行为,严防弄虚作假,徇私舞弊。
(六)加强对复试考生报考资格的审核,规范管理和监督检查,确保复试公平公正。复试开始前应组织对考生居民身份证、学历证书、学籍学历认证报告等材料进行审查,采取人脸识别、人证识别、报考库、学籍学历库、人口信息库、诚信档案库数据比对等措施,加强对复试考生的身份及报考资格审核。对考生思想政治素质和品德考核表等进行严格审查核验,不符合规定者不予复试。
(七)严肃考风考纪。严格按照国家关于考风考纪相关规定,严肃查处违规违纪行为。对在复试过程中有违规行为的考生,一经查实,将按照《国家教育考试违规处理办法》(教育部令第33号)、《普通高等学校招生违规行为处理暂行办法》(教育部令第36号)等规定严肃处理,取消复试录取资格,记入《考生考试诚信档案》。入学后3个月内,招生单位要按照《普通高等学校学生管理规定》有关要求,对所有考生进行全面复查。复查不合格的,取消学籍;情节严重的,移交有关部门调查处理。
(八)优化考生服务。学校和学院要畅通考生联系咨询通道,安排专人受理考生咨询,及时为考生答疑解惑,尽可能缩短申请调剂考生等待时间,全面做好复试调剂服务工作。同时要强化人性化关怀和个性化安排,积极采取有效措施,加强对贫困地区考生、残疾考生等特殊群体的关爱帮扶。
五、复试环节及组织形式
1.复试方式:我校复试方式采取现场复试。由研究生院统一组织,各学院具体实施。
2.复试时间
(1)一志愿考生复试安排在3月下旬进行。
(2)调剂考生的复试拟安排在4月8日以后开始进行。
3.复试内容
复试主要是对考生的创新能力、专业素养和综合素质进行考查。由招生学院具体组织实施。复试考核包括思想政治素质和品德考核、专业知识水平和能力考核、综合素质和能力考核、外语水平测试以及报考资格审查。复试总分按100分计。
主要包括以下内容:
(1)思想政治与综合文化素质考核
思想政治与综合文化素质考核主要考查考生本人的现实表现,内容包括考生的政治态度、思想表现、道德品质、遵纪守法、诚实守信等方面,以及对考生过往参加美育、体育及劳动教育情况的过程性考核,同时了解掌握身体健康状况。
该考核内容不计成绩,对于思想政治考核不合格者不予录取。
考生所在学习或工作单位须在规定时间通过指定方式向我校提交《太原理工大学硕士研究生招生思政品德考核表》及附件的扫描件或照片。
(2)专业知识水平和能力考核(50%)
专业素质和能力考核重点考查考生对本学科(专业)理论知识和应用技能掌握程度,利用所学理论发现、分析和解决问题的能力,对本学科发展动态的了解以及在本专业领域的发展潜力、创新精神和创新能力。
专业知识水平和能力考核必须抽题作答。抽题作答环节尽可能采用综合性、开放性的能力型试题,由考生在复试题库中随机抽选题目2道进行作答。该项考核要突出分类选拔,学术学位重点考核考生的学术素养、对学科知识掌握与运用情况、科研创新能力,专业学位重点考核考生的专业基础、实践能力和职业素养。复试专家根据考生表现给出得分。专业知识水平和能力考核时间累计不少于10分钟。
(3)综合素质和能力考核(30%)
综合素质和能力考核重点考查考生大学阶段学习情况及成绩,在本学科领域发展潜力、创新精神、科研能力,本学科(专业)以外的学习、科研、社会实践(学生工作、社团活动、志愿服务等)以及参加文化体育活动、公益劳动表现等方面的情况,事业心、责任感、纪律性(遵纪守法)、协作性和心理健康情况;人文素养、举止、表达和礼仪等。
(4)外语能力测试(20%)
外语能力测试重点考查考生对外语基本知识的掌握、表达能力。
外语能力测试由复试面试小组负责实施。考生使用初试外语语种进行测试,面试小组专家根据考生表现给出得分。外语能力测试时间不少于3分钟。
注:①复试面试时间不少于20分钟,考生明确表示已作答完毕的可提前结束考核;
②复试成绩不合格者不予录取;
③学院复试面试小组对复试成绩不合格的考生要理由充分,严格考察,做好记录(录像录音),经学院党政联席会议审核后报研究生院;
④学院须在工商管理(1251)、公共管理(1252)、会计(1523)、工程管理(1256)专业学位复试中组织思想政治理论考试,成绩计入复试总成绩;
⑤参加复试的专家须实名签字。学院对所有纸介质评分记录和考生作答情况均须进行电子扫描保存,其中纸介质至少保留1年,电子扫描版至少保留5年。复试录音录像电子材料至少保留5年。
(5)资格审查:在复试面试工作开始前,由学院负责统一对考生居民身份证、学历证书、学籍学历认证报告等材料及考生报考资格进行严格审查,确保参加复试的考生符合教育部规定要求。
4.组织复试的学院如下:
机械工程学院、材料科学与工程学院(含新材料界面科学与工程教育部重点实验室)、电气与动力工程学院(含煤电清洁智能控制教育部重点实验室)、电子信息工程学院、计算机科学与技术学院(大数据学院)、土木工程学院、水利科学与工程学院、化学与化工学院(含省部共建煤基能源清洁高效利用国家重点实验室)、矿业工程学院(含原位改性采矿教育部重点实验室)、轻纺工程学院、环境与生态学院、数学学院、经济与管理学院、体育与健康工程学院、物理与光电工程学院(含新型传感器与智能控制教育部重点实验室)、人工智能学院、马克思主义学院、文法与外语学院、建筑与艺术学院、软件学院、安全与应急管理工程学院、航空航天学院、集成电路学院、地球科学与测绘工程学院、机器人科学与工程学院共25个学院。
五、录取办法及录取总成绩计算
录取总成绩依据初试成绩、复试成绩两部分计算:
录取总成绩=[政治+外语+(业务课一)+(业务课二)] /折算百分制系数×0.8+复试成绩×0.2
参加复试的考生,在本专业内(以2026年硕士研究生招生目录公布的专业为准)按照录取总成绩由高到低排序录取。
全日制和非全日制考生各自排序录取。
单独考试、退役士兵专项考生单独排队录取。
一志愿与调剂考生分别录取。
六、复试复议
考生若对复试成绩有异议,可向我校研究生招生工作领导小组提出申诉,经调查属实的由学院复试工作领导小组进行复议。复议工作须自接受申诉之日起5日内完成并及时向考生反馈。
七、体检
我校2026年硕士研究生招生考试体检与新生入学体检合并。
八、其他
1.各学院提前掌握报考我校或外校的考生复试时间,合理安排复试场所,保证考生正常复试。
2.各学院未经学校同意,不得擅自开展考试招生各项工作。学校部署复试工作安排后,应在规定时间内提前在本学院网站发布复试时间、复试地点,及时准确做好政策宣传、解读、咨询、答复等服务保障工作。要积极采取有效措施,确保咨询渠道畅通。
3.考生在被正式录取后,招生学院按学校有关工作安排统一分配导师。复试前及复试过程中,严禁导师与考生提前联系、面试和承诺,一经发现,取消该导师本年度招生资格。

2026年硕士研究生招生考试初试成绩复核结果通知
报考我校2026年硕士研究生招生考试的考生初试成绩已完成复核,统考科目成绩由山西省招生考试管理中心复核,自命题科目成绩由我校研究生院复核。经查,成绩无误。
太原理工大学2025年一志愿分数线、调剂分数线




注意:以上数据仅供参考,以正式公告为准。
其他院校录取数据,可加微信咨询:


其他院校或专业录取数据,可加微信咨询:


指导群建立
进群请留言
