硬碳是钠离子电池负极的种子选手,但有两个问题一直吵不清楚:低电压平台的容量到底从哪来的?是钠钻进石墨层间,还是填进纳米孔里?
吵了这么多年,本质原因是传统烧法太慢——升温慢、保温长,烧出来的硬碳结构“糊”在一起,石墨微域和闭孔混着长,分不清谁贡献了多少。
太原理工大学和南方科技大学最近在《Carbon》上发了一篇,用瞬态焦耳热,310秒就把生物质醋渣烧成硬碳,而且烧出来的结构和传统炉子(10.7小时)完全两个路子。他们用这套“快烧”样品和“慢烧”样品正面硬刚,结合原位拉曼、气体吸附、GITT,终于把平台容量的账算清楚了:
快烧样F-HC2500,闭孔孔容0.099 cm³/g,闭孔填充贡献率33.7%;慢烧样C-HC1400,层间距大,嵌入贡献77.1%,填充只占12.4%。
——原来不是二选一,是烧法决定谁当家。
01 310秒 vs 10.7小时:速度差125倍,结构也差远了
先看图1a的流程对比。左边传统炉子:升温速率3°C/min,1400°C保温3小时,全程10.7小时。右边焦耳热:36 V、83 A,60秒冲到2500°C,保温180秒,70秒冷却,全程310秒。

速度差125倍,烧出来的东西也不一样。
图1b-g的SEM和HRTEM:慢烧样C-HC1400,颗粒4–7 μm,类石墨微区明显,层间距0.393 nm。快烧样F-HC2500,颗粒2–5 μm(热应力炸碎的),层间距0.374 nm,但孔更多。
图2把孔扒开看。N₂吸脱附(图2e-f)显示两样品都有介孔和>1.2 nm的微孔。关键在CO₂吸附(图2g-h)——快烧样在0.4–0.9 nm的超微孔范围孔容达0.040 cm³/g,慢烧样只有0.009 cm³/g。

氦真密度算闭孔(图2i):快烧样0.099 cm³/g,慢烧样低一截。焦耳热超快烧结,闭孔被“冻”住了,没来得及塌。
02 容量拆解:斜坡吸附、平台嵌入、平台下段填充
图3是电化学硬指标。

0.1 C下,两样品容量差不多(315 vs 316 mAh/g),首效也接近(76% vs 78%)。但把容量按电压拆开(图3d):>0.1 V的斜坡区(缺陷吸附),快烧样135.3 mAh/g,高于慢烧样的120.3——缺陷多,吸附自然多。<0.1 V的平台区,快烧样179.7 mAh/g,低于慢烧样的195.7——层间距小,嵌入少。
倍率性能(图3e)快烧样赢了:10 C下还留着181 mAh/g,慢烧样掉得厉害。循环(图3f)也稳,1 C跑100圈剩90.6%。
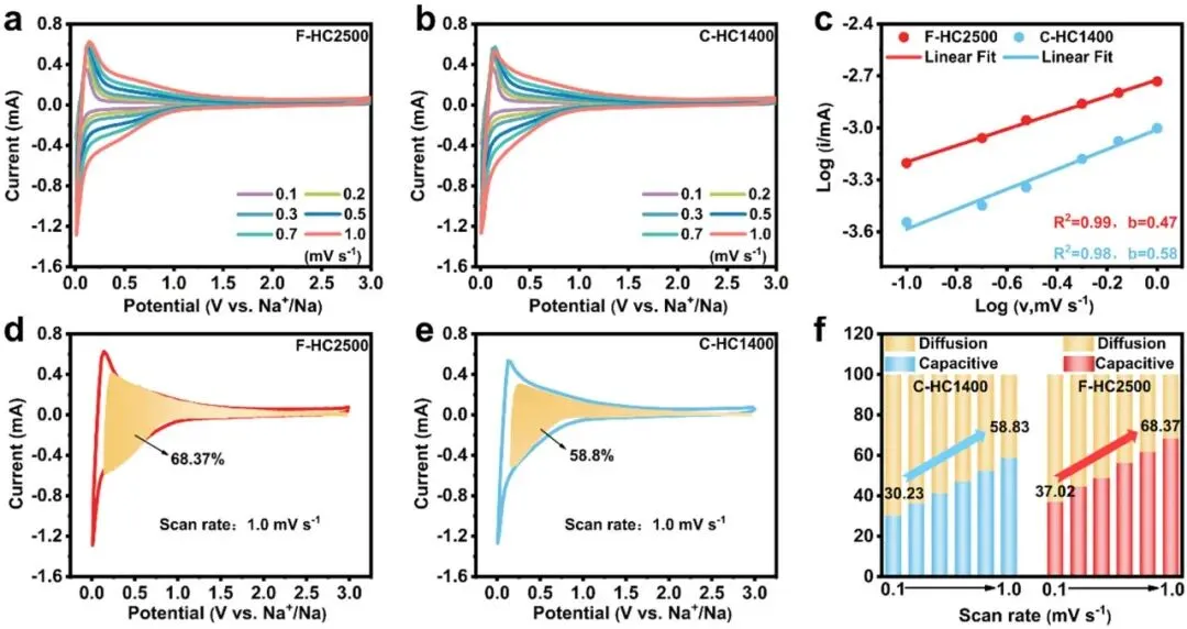
图4的动力学分析解释了为什么倍率好:b值计算(图4c)显示平台区以扩散控制为主,但电容贡献(图4d-f)快烧样在各扫速下都高——缺陷和孔多,表面电容行为强,离子跑得快。

03 原位拉曼“抓现行”:石墨微域太小,插层化合物长不起来
图5是这篇最硬的证据。

原位拉曼盯着首周放电过程看。慢烧样C-HC1400(图5a-b),电压从0.619 V降到0.10 V,G峰分裂成1537 cm⁻¹和1602 cm⁻¹——这是钠-石墨插层化合物的特征峰,钠确实钻进层间了。
快烧样F-HC2500(图5c-d),全程G峰只红移、不分裂。为什么?因为石墨微域尺寸太小,长不出有序的插层化合物。
这意味着:同样是平台区,慢烧样的容量来自“嵌入”,快烧样的容量来自别的机制——只能是闭孔填充。
04 闭孔填充:理论算+实测,把33.7%钉死了
图6是定量。

酚酞实验(图6a-b)放电到0 V,两样品都能让酚酞变红——都有准金属钠填充。
理论填充容量:基于闭孔孔容算(图6c),慢烧样极限41.8 mAh/g,快烧样111.9 mAh/g。
GITT测扩散系数(图6d-e),低电位区有拐点:快烧样在0.053 V处扩散系数突增,对应闭孔填充启动;慢烧样拐点在0.030 V。拐点之后的容量,就是闭孔填充贡献——第二周循环,快烧样107.7 mAh/g,慢烧样39.8 mAh/g,和理论值对得上。
最后把容量全拆开(图6f-h):快烧样F-HC2500,吸附14.5%、嵌入51.8%、填充33.7%——三阶段均衡贡献。慢烧样C-HC1400,嵌入77.1%、填充12.4%——嵌入当家。
图6g的机制模型把这套逻辑画清楚了:斜坡区表面吸附,平台上段层间嵌入,平台下段闭孔填充。
05 这事的看点:用“快烧”造出不一样的硬碳,把机制吵明白了
把这篇的逻辑抽出来,其实是三层设计叠在一起:
工艺层:焦耳热超快烧结,310秒完事。速度够快,热应力把颗粒炸碎,闭孔被“冻”住来不及塌,造出和慢烧完全不同的结构。
表征层:用慢烧样当对照组,气体吸附定孔、原位拉曼定嵌入、GITT定填充——三套数据互相印证,把“嵌入”和“填充”的贡献拆得清清楚楚。
机制层:提出“吸附-嵌入-填充”三阶段模型,闭孔填充贡献33.7%,且扩散势垒比嵌入低,解释了为什么快烧样倍率更好。
最后落在应用上:315 mAh/g、10 C下181 mAh/g、300圈剩221 mAh/g——这套工艺和机制,给钠电负极设计开了条新路。
文献信息
Kinetically Controlled Microstructural Engineering of Hard Carbon via Transient Sintering: Decoupling the Contributions of Graphitic Domains and Closed Pores to Sodium Storage
Carbon, 2026
DOI: 10.1016/j.carbon.2026.03.001
欢迎关注我们的公众号或访问官方网站:
https://www.zhongkejingyan.com.cn/
如果您对上述创新研究所用设备感兴趣,欢迎联系张老师:13121391941