
文章信息
Temperature-Controlled Flexible Metal-Organic Frameworks for Propylene/Propane Separation
Jiamin Zhang (张佳敏), Yanhui Dai (代艳辉), Yang Chen (陈杨), Jinping Li (李晋平), Libo Li (李立博)
Volume 86, October 2025, Pages 72-78
https://doi.org/10.1016/j.cjche.2025.06.018

识别查看全文
Chinese Journal of Chemical Engineering
研究背景
丙烯是世界上第二大烯烃原料,在其生产过程通常会产生副产品丙烷,严重影响着下游产品的质量。由于丙烯和丙烷具有相似的物理性质,包括动力学直径、沸点和极化性等,这使得它们的分离变得复杂,因此如何高效分离丙烯和丙烷已成为化学工业中的一项关键挑战。金属有机框架(MOFs)具有一系列独特的优势,如高比表面积和多孔性、可设计的孔结构和功能性等。基于这些优势,MOFs 可通过精确的结构调控实现丙烯/丙烷的选择性分离,为解决传统吸附剂所面临的问题和挑战开辟了一条新途径。
成果展示
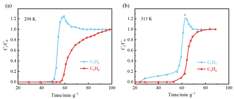
本研究以柔性 MOF 的设计和性能优化为重点,设计合成了一种基于三氮唑(TRZ)和9,10-蒽二羧酸(ADC)双配体组合的Zn基柔性MOF。在Zn-ADC-TRZ中,Zn 原子和 TRZ 配体通过配位键结合成一维链状结构,并通过TRZ连接进一步延伸成二维Zn-TRZ 层,而相邻层由ADC配体进行支撑,最终形成了三维(3D)柱层结构。对Zn-ADC-TRZ的丙烯/丙烷吸附分离特性进行的系统研究揭示了与温度相关的结构动态。研究发现,随着温度的升高,Zn-ADC-TRZ的孔隙结构会因热反应而发生动态调整,从而有效调节气体的吸附量和开启压力。这表明,在不同的气体分压条件下,可以通过温度调节达到最佳分离效果。实验表明,Zn-ADC-TRZ对丙烯的吸附容量在298 K和100 kPa条件下达到53 m3·g–1,对丙烷的吸附容量为28 m3·g–1。随着温度的升高,丙烯和丙烷的吸附差异逐渐明显,吸附比在313 K时达到最大值。动态穿透实验验证了温度调节在提高丙烯/丙烷分离性能方面的关键作用。这一结果通过突破实验进一步得到验证,实验表明在较高温度下分离性能更优,分离时间在313 K时达到28 min·g–1。该研究通过综合孔隙吸附表征、动态渗透分析和 GCMC 模拟,阐明了柔性 MOF 对丙烯/丙烷混合物的分离机理,为开发低能耗烯烃分离材料提供了新的启示。
图文导读

图1 Zn²⁺、TRZ和ADC组装成Zn–TRZ片层结构的示意图,以及该结构三维多孔架构的多视角可视化展示。

图2 (a) 所合成的Zn–ADC–TRZ的PXRD图谱。(b) Zn–ADC–TRZ的TGA曲线。 (c) 77 K下N2吸附/脱附等温线和273 K下CO2吸附/脱附等温线。(d) 活化后Zn–ADC–TRZ的PXRD图谱。(e) Zn–ADC–TRZ活化前后孔腔结构的变化。

图3 (a)-(d) 298、303、313、323 K下Zn–ADC–TRZ对C3H6和C3H8的吸附与脱附等温线。(e) 在50 kPa压力下,四种温度下C3H6和C3H8吸附容量的差异。(f) 不同温度下Zn–ADC–TRZ的性能比较。

图4 GCMC模拟结果显示(a) C3H6和(b) C3H8的优先吸附位点。

图5 C3H6/C3H8混合物在Zn–ADC–TRZ上的穿透曲线,分别在(a) 298 K和(b) 313 K下测得。
作者及团队介绍
陈杨:太原理工大学研究员,博士生导师。从事多孔材料的制备、功能化及气体吸附分离研究。在J Am Chem Soc、Adv Mater、Nat Commun、Engineering、AIChE J等期刊发表论文50余篇,获授权国家发明专利10余项。承担国家优秀青年科学基金、山西省优秀青年基金等项目8项。获山西省自然科学一等奖、煤炭学会煤炭青年科技优博奖、山西省优秀博士学位论文等。《化工学报》《化工进展》青年编委。
李立博:太原理工大学教授,博士生导师。主要从事分子辨识分离材料开发及气体分离研究。在Science、 Nat Mater、 Nat Chem、 Nat Commun、 J Am Chem Soc、 Angew Chem IntEd 等期刊发表论文100余篇,获授权国家发明专利20余项。主持国家自然科学基金(优青、面上)、国家重点研发计划课题、山西省煤层气联合基金等项目。获中国石化联合会技术发明一等奖1项,山西省自然科学一等奖2项,中国化学会青年化学奖,侯德榜化工科学技术青年奖,中国分子筛新秀奖等。《化工进展》《石油学报(石油加工)》编委,Chin Chem Lett青年编委。
李晋平:太原理工大学教授,博士生导师,中国化工学会会士,怀柔实验室山西研究院副院长。长期致力于化工分离科学与工程的研究,包括CH4/N2高效分离吸附剂创制与变压吸附分离技术、低碳烃分离材料与技术、氢能制储等研究。主持国家“863计划”、国家自然科学基金重大、重点项目,山西省煤基产业链煤层气专项、山西省科技攻关项目等30余项。在Science、Nat Commun、J Am Chem Soc、Angew Chem Int Ed、Adv Mater 等期刊发表学术论文600余篇,被引17000余次,入选全球前2%顶尖科学家榜单;授权国家发明专利70余项。获国家技术发明二等奖1项、中国石化联合会技术发明一等奖1项、山西省自然科学一等奖2项、技术发明一等奖1项,省部级科技奖励二等奖6项,侯德榜化工科学技术奖“成就奖”。煤及煤层气绿色清洁开发利用省部共建协同创新中心主任;兼任Chin J Chem Eng和《过程工程学报》期刊编委和《煤炭转化》期刊主编。

点击下方“阅读原文”查看摘要及更多信息
欢迎投稿

往期精选(点击即可跳转)
华东理工大学 Chem. Eng. Sci. | 基于分形孔径分布-动态随机孔耦合颗粒模型的钙基吸附剂CO₂捕集碳酸化行为模拟
天津大学 I&EC Research | 回流集成两段变压吸附法用于CO₂捕获的工艺设计与多目标优化
华东理工大学 Chem. Eng. Sci. | 使用低共熔溶剂从轻循环油中节能提取芳烃:实验和工艺评估的见解

