



第一作者:邸达
通讯作者:周鑫
通讯单位:太原理工大学环境与生态学院
论文DOI: 10.1016/j.biortech.2026.134126

图文摘要


成果简介
近日,太原理工大学环境与生态学院周鑫教授团队在环境领域知名期刊Bioresource Technology (IF=9.0)上发表了题为“Tuning influent sulfur-to-nitrogen ratio to mitigate nitrous oxide emissions in sulfite-driven autotrophic denitrification system”(DOI: 10.1016/j.biortech.2026.134126) 的研究论文,研究系统探究了亚硫酸盐驱动自养反硝化(SDAD)系统中,硫氮比(S/N)对氧化亚氮(N2O)排放的影响及其微生物学机理,提出了通过优化S/N比来实现高效脱氮并大幅降低N2O足迹的有效控制策略,为SDAD技术的低碳应用提供了重要的理论依据和实践指导。

全文速览
亚硫酸盐自养反硝化(SDAD)是一种新型的硫自养反硝化工艺,然而目前,关于亚硫酸盐驱动自养反硝化过程中N2O的排放行为及其调控机制尚不明确。本研究在SDAD生物膜反应器中探究了S/N摩尔比(0.4-3.1)对脱氮效能和N2O排放的影响。结果表明,最佳的脱氮效率(92.7%)在S/N为2.6时实现。更重要的是,N2O排放对S/N比呈现非线性响应。过低的S/N比(1.3-2.0)导致亚硝酸盐积累且N2O产生基因(norB/C)与还原基因(nosZ)的比例升高,从而增加了N2O排放。将S/N比调至2.6时,N2O排放因子最低至0.5%。微生物分析揭示,该S/N条件富集了关键硫氧化菌(Thiobacillus和Sulfurovum),同时优化了微生物群落组成并强化了氮硫代谢潜力,通过nosZ基因确保了高效的N2O还原。研究为SDAD的实际应用提出了一种有效的控制策略,可在实现强化脱氮的同时大幅减少N2O排放。

引言
污水处理厂是温室气体N2O的重要排放源,其全球增温潜势约为CO2的300倍。传统的异养反硝化在碳源不足时易导致大量N2O排放。硫自养反硝化因无需外加有机碳、污泥产率低等优势受到关注。近年来,亚硫酸盐(SO32-)作为一种新型硫自养反硝化电子供体,具有溶解度高、易利用、生物毒性低等优点备受关注。然而,在SDAD过程中,关键操作参数硫氮比(S/N)如何影响N2O的排放行为,其背后的微生物学调控机制尚不清楚。基于此,本研究系统考察了不同S/N比(0.4-3.1)条件下SDAD生物膜反应器的脱氮效能、N2O排放特征、微生物群落演替、功能基因代谢机制,为该工艺未来低碳脱氮应用提出优化策略。

图文导读
不同S/N比下脱氮性能

图1.脱氮性能:(a)出水NO3--N浓度,(b)硝酸盐去除效率(NRE),(c)亚硫酸盐去除效率(SRE),(d)出水NO2--N浓度,(e)亚硝酸盐积累率(NAR),(f)总氮去除效率(TNRE)
图1展示了SDAD系统在不同S/N比下的长期运行性能。随着S/N比从0.4增加至2.6,硝酸盐去除率(NRE)和总氮去除率(TNRE)持续提升,并在S/N=2.6时达到峰值,分别为94.3%和92.7%。当S/N比进一步升至3.1时,脱氮效率开始下降。在S/N不足时,由于电子供体缺乏,导致亚硝酸盐积累(图1d)。而过高的S/N可能因硫酸盐积累抑制了亚硫酸盐氧化,从而影响脱氮。这表明,S/N比是决定SDAD脱氮效率的关键参数。
氮素转化、N2O和FNA特性
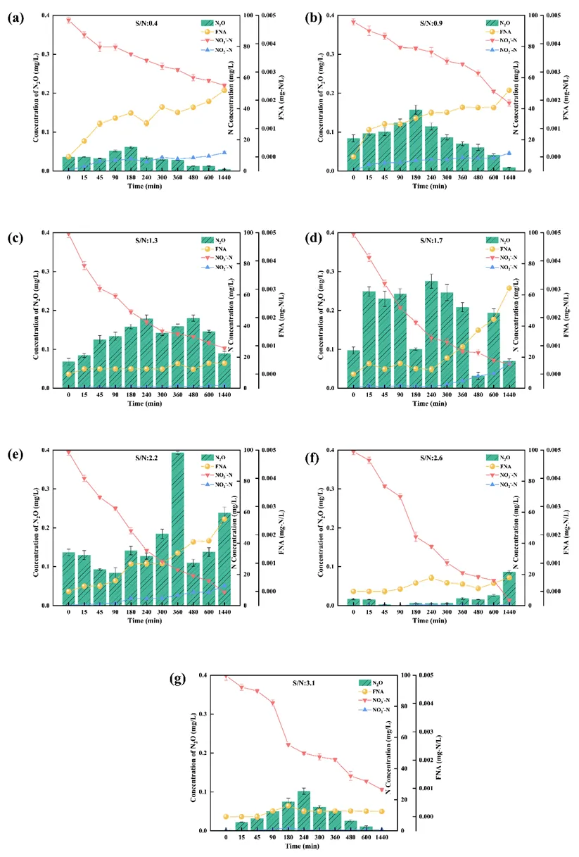
图2. 不同S/N比下典型周期内氮素形态、N2O和FNA的变化曲线:(a)S/N = 0.4,(b)S/N = 0.9,(c)S/N = 1.3,(d)S/N = 1.7,(e)S/N = 2.2,(f)S/N = 2.6,(g)S/N = 3.1

图3.不同S/N比下的N2O排放量及排放因子
典型周期试验(图2)和排放因子分析(图3)揭示了N2O排放对S/N比的非线性响应。在中等S/N比范围(1.3-2.2),N2O排放因子较高(2.7%-4.3%),这与亚硝酸盐和游离亚硝酸(FNA)的积累密切相关(图2)。而在S/N比为2.6时,N2O排放始终处于极低水平,排放因子仅为0.5%。因此,调控S/N比至最佳范围是减少N2O排放的有效策略。
微生物群落分析

图4.微生物群落分析:(a) OTU韦恩图,(b) 门水平相对丰度,(c) 属水平相对丰度,(d) SOB总相对丰度,(e) 属水平差异比较,(f) RDA分析。
高通量测序结果(图4)揭示了S/N比对微生物群落结构的显著重塑作用。从OTU水平来看(图4a),样品S6(S/N=2.6)的OTU总数最高(611个),且73.6%为独有OTU,Shannon和Chao指数也达到峰值,表明该条件下微生物多样性最为丰富。门水平分析(图4b)显示,硫氧化菌核心菌门变形菌门(Proteobacteria)相对丰度随S/N升高而增加,而异养菌为主的拟杆菌门(Bacteroidetes)则持续下降,反映出异养菌在硫自养主导系统中的竞争优势减弱。值得注意的是,在最佳S/N比(2.6)下,SOB如Thiobacillus和Sulfurovum的相对丰度达到峰值(图4c和4d)。冗余分析(RDA)(图4f)进一步证实,这些SOB与N2O排放呈显著负相关,而部分异养菌(如Thauera)则与N2O产生呈正相关。因此,优化S/N比至2.6能够选择性富集功能型自养菌群、抑制异养菌的竞争,从而在保障高效总氮去除的同时,从微生物生态层面阻断N2O的生成与释放。
微生物网络分析

图5.微生物相关性网络分析:(a) 低S/N微生物群落网络,(b) 高S/N微生物群落网络,(c) Zi-Pi图,(d) 高低S/N下菌属拓扑特征对比
网络分析(图5)揭示了S/N比对微生物网络结构的显著调控作用。对比低S/N(0.4-1.7)条件下的网络拓扑结构,高S/N(2.2-3.1)下微生物网络表现出更高的复杂性与稳定性:平均加权度和平均聚类系数均有所提升,而模块化程度降低,表明功能模块趋于集成、代谢协同性增强。关键硫氧化菌属(如Thiobacillus、Sulfurovum)在网络中的中心性(节点度、加权度)和权威性(特征向量中心性)显著提高,而异养反硝化菌属(如Thauera、Ignavibacterium)的拓扑重要性则相应减弱。同时,作为潜在种间电子传递介质的Chloroflexi成员(如Longilinea、Ornatilinea)在高S/N条件下表现出更高的活跃度,这进一步强化了不同功能模块之间的传质效率。这些结果充分说明,高S/N条件通过重塑微生物互作网络、促进核心功能菌群协同,构建了更为高效的种间电子传递体系,从而驱动N2O的彻底还原,实现低碳脱氮目标。
代谢机制解析

图6.功能基因丰度及代谢通路:(a) 功能基因丰度,(b)Nor/Nos和 (Nar+Nap)/Nir比值,(c) 氮硫代谢通路图。
从基因层面(图6)进一步揭示了S/N比调控N2O减排的分子机制。随着S/N升高,nap和nar基因的总丰度显著提高(图6a),表明更多电子流向硝酸盐还原过程,为整个反硝化链提供了充足的电子驱动力。值得注意的是,在最佳S/N比(2.6)下,N2O还原酶基因(nosZ)的丰度达到峰值,而Nor/Nos(N2O产生/还原基因比)和(Nar+Nap)/Nir(硝酸盐还原/亚硝酸盐还原基因比)的比值均降至最低(图6b),相比S/N=1.7时,分别下降61%和55%,这表明代谢流更倾向于将电子用于N2O的最终还原。硫循环中,sorAB通过细胞色素C介导的电子传递链将电子引导至反硝化还原酶,随S/N升高,sorAB基因丰度(409→17213)的急剧上升表明电子转移能力增强,增强了N2O还原所需的电子供应。本研究揭示了通过调节S/N来调控关键功能基因丰度比例、强化高效电子传递通路达到平衡电子分配、最终实现N2O深度减排的基因调控机制。

应用展望
本研究提出以亚硫酸盐替代传统硫源的自养反硝化新方法,并构建了基于S/N比优化的低碳脱氮策略。对比当前主流的S0-SAD系统,该工艺耗酸免碱、硫酸盐产量低、无填料堵塞问题,兼具高溶解性与快速反应动力效率,可大幅缩小反应器体积并节约运维成本。此外,亚硫酸盐可通过回收工业脱硫副产物(亚硫酸钠)实现低成本资源化利用。凭借其独特优势,SO32--SAD工艺有望为城市污水生化尾水、高硝酸盐废水处理及地下水修复提供一种颇具应用前景的深度低碳脱氮解决方案。

作者简介
通讯作者:周鑫,太原理工大学环境与生态学院教授、硕士生导师。山西省“三晋英才”支持计划青年优秀人才,山西省高校师德楷模。兼任中国工程建设标准化协会智慧水务专业委员会委员,中国化工学会工业水处理专业委员会专家、中华环保联合会水环境治理委员会专家,担任《石油化工高等学校学报》编委、《Eco-Environment & Health》、《River》、《中国环境科学》、《中国给水排水》等10本期刊青年编委。长期从事污水生物处理与资源化方面教学、科研及工程应用工作,主持各类科研项目20余项,发表学术论文近70篇,出版学术著作1部,申请/授权发明专利10项。相关技术成果曾获中国给水排水杂志社“九通杯”技术创新一等奖、中国化工学会工业水处理技术创新二等奖。
联系邮箱:zhouxin@tyut.edu.cn
第一作者:邸达,太原理工大学环境与生态学院硕士研究生,研究方向为亚硫酸盐自养反硝化,以第一作者在Bioresource Technology、Separations等期刊发表SCI论文2篇,中文核心1篇。

投稿、合作、转载、进群,请添加小编微信Environmentor2020!环境人Environmentor是环境领域最大的学术公号,拥有25W+活跃读者。由于微信修改了推送规则,请大家将环境人Environmentor加为星标,或每次看完后点击页面下端的“在看”,这样可以第一时间收到我们每日的推文!环境人Environmentor现有综合群、期刊投稿群、基金申请群、留学申请群、各研究领域群等共20余个,欢迎大家加小编微信Environmentor2020,我们会尽快拉您进入对应的群。

往期推荐



扫描二维码,快速入群~